Korean J Intern Med > Volume 40(3); 2025 > Article
Kim, Yang, and Song: Polymyxin B-hemoperfusion in patients with acute exacerbation of idiopathic pulmonary fibrosis: a single-center prospective pilot study

Abstract

Background/Aims

Patients with acute exacerbation of idiopathic pulmonary fibrosis (AE-IPF) typically have a poor prognosis; however, no effective treatment is available. In recent years, several retrospective studies have suggested the clinical benefits of direct hemoperfusion with a polymyxin B–immobilized fiber column (PMX-DHP) in patients with AE-IPF. Herein, we aimed to investigate the efficacy and safety of PMX-DHP treatment in patients with AE-IPF.

Methods

Patients diagnosed with AE-IPF (n = 10) with a partial pressure of oxygen to fraction of inspiratory oxygen ratio (P/F ratio) > 100 were prospectively enrolled at a single center. PMX-DHP was performed twice for 6 hours (at 24-h intervals) at a flow rate of 80–100 mL/min, and steroid pulse therapy was concurrently administered (500 mg of methylprednisolone for 3 d).

Results

The mean patient age was 67 years, and 80.0% were male. During the follow-up (median, 42.5 d; interquartile range, 16.0–174.0 d), seven (70.0%) patients died (including two who underwent transplantation); the in-hospital mortality rate was 70%, while the 30- and 90-day mortality rates were 50.0% and 70.0%, respectively. After 48 hours of PMX-DHP treatment, the P/F ratio improved (mean, 160.0 vs. 229.0; p = 0.054) and C-reactive protein level decreased (mean, 8.3 mg/dL vs. 3.5 mg/dL; p = 0.012). During hospitalization, no PMX-DHP–associated adverse events were observed.

Conclusions

Our results suggest that PMX-DHP treatment may be useful at improving oxygenation and reducing inflammation in patients with AE-IPF with acceptable safety profiles, however without affecting their prognosis.

Graphical abstract

INTRODUCTION

Idiopathic pulmonary fibrosis (IPF) is a chronic progressive lung disease with a median survival of 3–5 years [1]. Acute exacerbations of idiopathic pulmonary fibrosis (AE-IPF) are characterized by acute worsening of dyspnea with bilateral lung infiltration that leads to a dismal prognosis (1-year survival, 56.2%) [2], which significantly impacts the clinical course of affected patients. Characterized by cellular inflammation, AE-IPF exhibits a histological pattern of diffuse alveolar damage superimposed on usual interstitial pneumonia [3]. Consequently, international evidence-based guidelines make a weak recommendation for the use of corticosteroids in patients with AE-IPF [4]. However, some retrospective studies have reported that high-dose corticosteroids showed no survival benefits in patients with AE-IPF [58]. In addition, a recent randomized controlled double-blind trial (EXAFIP study) concluded that the addition of intravenous cyclophosphamide to glucocorticoids did not positively affect the survival of patients with AE-IPF [9]. Furthermore, in a randomized double-blind phase-3 study conducted at 27 sites in Japan, thrombomodulin alpha did not improve the 90-day survival of patients with AE-IPF [10]. As a result, an effective treatment for AE-IPF is lacking.
The polymyxin B–immobilized fiber column (PMX) was originally developed to absorb endotoxins released by gram-negative bacteria during sepsis [11]. Studies have demonstrated the beneficial effects of direct hemoperfusion with PMX (PMX-DHP) on mortality in patients with septic shock [12,13]. PMX-DHP reportedly improves the oxygenation and survival of patients with acute respiratory distress syndrome [14,15]. Moreover, it reportedly has a favorable effect in patients with AE-IPF [1620]. In a retrospective study by Enomoto et al. [17] of 31 patients with 41 AE-IPF episodes, the 12-month survival rate was significantly better in patients treated with versus without PMX-DHP (48.2% vs. 5.9%, respectively; p = 0.041). Furusawa et al. [18] reported that treatment with PMX-DHP significantly improved the partial pressure of oxygen to fraction of inspiratory oxygen ratio (P/F ratio) (median, 103.0 vs. 153.8, respectively; p = 0.005) in 54 patients with acute exacerbations of interstitial lung disease (AE-ILD) (IPF = 24, non-IPF = 30). However, to date, no prospective study has evaluated PMX-DHP in patients with AE-IPF. Therefore, in this study, we aimed to investigate the effectiveness and safety of PMX-DHP treatment in patients with AE-IPF.

METHODS

Study population

This open-label pilot study, prospectively conducted at Asan Medical Center, Seoul, South Korea, from April 2021 to May 2022, investigated the efficacy and safety of PMX-DHP treatment in patients with AE-IPF. Eligible patients were those aged 19–80 years and diagnosed with AE-IPF with a P/F ratio > 100; those with impending respiratory failure were excluded. All patients with IPF met the diagnostic criteria of the American Thoracic Society (ATS)/European Respiratory Society (ERS)/Japanese Respiratory Society (JRS)/Latin American Thoracic Association statement [4]. Acute exacerbations were defined based on the criteria proposed by Collard et al. [3] as a worsening of dyspnea (typically within 30 d) with new bilateral lung infiltration not fully explained by heart failure or fluid overload and without an identified extraparenchymal cause (pneumothorax, pleural effusion, or pulmonary embolism). Acute exacerbations are further classified into triggered or idiopathic types depending on whether an underlying cause was identified. Patients with severe respiratory failure requiring mechanical ventilation or extracorporeal membrane oxygenation (ECMO) were excluded to eliminate the detrimental effects of mechanical ventilation. Patients with significant comorbidities that could affect their survival, such as heart failure, renal/liver failure, hemodynamic instability, severe hemorrhagic disease, thrombocytopenia (platelets < 50,000/μL), or cardiovascular disease, were also excluded.
The study was registered at the Clinical Research Information Service (registry number, KCT0003751; date of first registration: April 12, 2021), and the study protocol was approved by the Institutional Review Board of Asan Medical Center (approval number, 2017-1132). Written informed consent was obtained from all participants. All methods were performed in accordance with the relevant guidelines and regulations.

PMX-DHP treatment

Eligible patients were admitted to the intensive care unit. A double-lumen catheter was placed via a femoral approach, and PMX-DHP (Toraymyxin 20R; Toray Medical CO., Ltd, Tokyo, Japan) was performed twice for 6 hours (at 24-h intervals) at a flow rate of 80–100 mL/min within 24 hours of admission. Nafamostat mesylate or heparin sodium was used for anticoagulation. Concurrently, all patients received steroid pulse therapy (methylprednisolone 500 mg for 3 d).

Clinical data

Clinical and laboratory assessments were performed at baseline and after 24 and 48 hours. The following parameters were assessed: vital signs, alveolar–arterial oxygen pressure difference ([A-a]DO2), P/F ratio, sequential organ failure assessment score, complete blood count profiles, prothrombin time, estimated glomerular filtration rate, C-reactive protein (CRP), lactate dehydrogenase (LDH), and Krebs von den Lungen-6 (KL-6).
The spirometry parameters, total lung capacity by plethysmography, and diffusing capacity of the lung for carbon monoxide (DLCO) were measured according to the ATS/ERS recommendations, and data most recent to the time of the acute exacerbation diagnosis were collected [2123]. The results are expressed as percentages of normal predicted values. A 6-min walk test was performed according to ERS/ATS recommendations [24].

Outcomes

The primary endpoint was overall survival in patients with AE-IPF at 90 days after starting PMX-DHP. The need for lung transplantation was considered equivalent to death in terms of outcomes. The secondary endpoint was overall survival at 30 days after starting PMX-DHP. We also observed the development of adverse events during PMX-DHP treatment by evaluating potential complications, such as bleeding, hematoma, pneumothorax, local infection, heparin-induced thrombocytopenia, electrolyte imbalance, hypotension, pulmonary thromboembolism, and deep vein thrombosis.

Measurements of serum KL-6

Blood KL-6 levels were measured using a Nanopia KL-6 assay (Sekisui Medical, Tokyo, Japan). After blood collection, all samples were immediately transported and centrifuged. KL-6 concentration was measured using a latex-enhanced immunoturbidimetric assay that detects changes in absorbance caused by agglutination.

Statistical analysis

All data are expressed as mean ± standard deviation or median (interquartile range) for continuous variables and as percentages for categorical variables. Continuous variables were compared using Student’s t-test or the Mann–Whitney U test, and categorical variables were compared using Pearson’s chi-squared test or Fisher’s exact test. Paired t-tests were used to compare the laboratory findings before and after PMX-DHP treatment. Kaplan–Meier survival analysis was performed to analyze the survival rate. Statistical analysis was performed using R software version 4.2.1 (R Foundation for Statistical Computing, Vienna, Austria), and values of p < 0.05 were considered statistically significant.

RESULTS

Baseline characteristics

Between April 2021 and May 2022, a total of 11 patients with IPF were assessed for study eligibility, of whom 10 were included. One patient was excluded from the study because she had been intubated and required mechanical ventilation before receiving PMX-DHP treatment. All 10 patients received PMX-DHP treatment as planned, with no unexpected events. Their baseline characteristics are shown in Table 1 and Supplementary Table 1. The mean patient age was 67.0 years, 80.0% were males, and the mean P/F ratio was 160.0. Of the enrolled patients, six (60.0%) had a triggered acute exacerbation, all of which were caused by infections. During follow-up (median, 42.5 d [interquartile range, 16.0–74.0 d]), seven (70.0%) patients died (including two who underwent transplantation) for an in-hospital mortality rate of 70%. The non-survivors had lower forced vital capacity, forced expiratory volume in one second, DLCO, and minimum saturation of peripheral oxygen, as well as a shorter 6-min walk distance than the survivors. Furthermore, the non-survivors tended to have more frequent acute exacerbation episodes and receive more frequent home oxygen therapy and corticosteroid treatment within the 3 months prior to the diagnosis of AE-IPF than survivors.

Clinical outcomes

The overall survival of patients with AE-IPF treated with PMX-DHP is shown in Figure 1. The 30- and 90-day mortality rates from the time of admission were 50% and 70%, respectively. During hospitalization, two patients each underwent mechanical ventilation and lung transplantation after receiving PMX-DHP treatment, respectively.

Changes in laboratory data

Table 2 shows the changes in laboratory data after 48 hours of PMX-DHP treatment in patients with AE-IPF. After 48 hours of PMX-DHP treatment, CRP levels were significantly decreased (8.3 ± 4.9 vs. 3.5 ± 2.8, respectively; p = 0.012). P/F ratio and (A-a)DO2 numerically improved beyond 48 hours after PMX-DHP treatment (P/F ratio: 160.0 ± 70.8 vs. 229.0 ± 158.0, p = 0.054; and (A-a)DO2: 266.0 ± 120.0 mmHg vs. 228.0 ± 132.0 mmHg, p = 0.157), while KL-6 levels did not differ significantly (1,775.0 ± 981.0 vs. 1,811.0 ± 1,062.0, p = 0.751). No significant differences were observed in LDH levels and white blood cell (WBC) counts after 48 hours of PMX-DHP treatment (LDH: 317.5 ± 142.0 IU/L vs. 388.9 ± 121.7 IU/L, p = 0.395; and WBC count: 10.8 ± 3.4 × 103/μL vs. 11.9 ± 3.8 × 103/μL, p = 0.465).
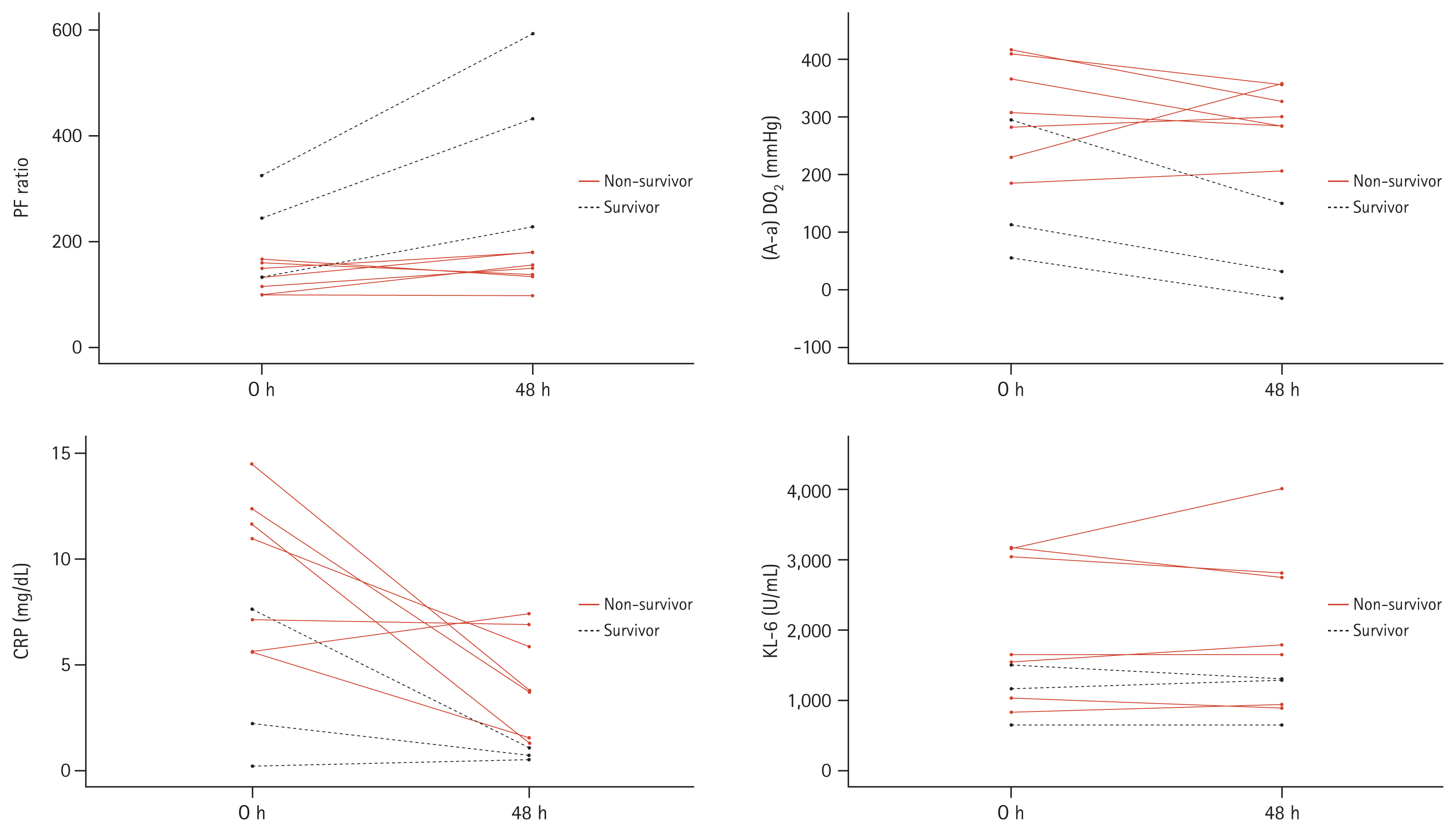
Figure 2 and Table 3 compare the changes in laboratory parameters after 48 hours of PMX-DHP treatment between the non-survivors and survivors. The non-survivors showed lesser improvements in the (A-a)DO2 over 48 hours than survivors (mean absolute changes over 48 h: −11.5 mmHg vs. −99.3 mmHg, p = 0.048). The non-survivors also showed lesser improvements in P/F ratio and serum KL-6 levels over 48 h than survivors without statistical significance (mean absolute changes over 48 h: P/F ratio: 16.0 vs. 184.0, p = 0.065; and KL-6 levels: 60.2 U/mL vs. −21.5 U/mL, p = 0.664).

Safety during the PMX-DHP treatment

No adverse events, including hemorrhage, hematoma, pneumothorax, infection, heparin-induced thrombocytopenia, pulmonary thromboembolism, hypotension, or electrolyte imbalance, were observed during or after PMX-DHP treatment.

DISCUSSION

To our knowledge, this is the first prospective study to evaluate PMX-DHP treatment in patients with AE-IPF. Our findings showed that PMX-DHP improved inflammation and oxygenation among patients with AE-IPF but did not show survival benefits. No adverse events were associated with PMX-DHP treatment.
In our study, the 30- and 90-day overall mortality rates were 50% and 70%, respectively, which were higher than those in previous studies [17,25]. A retrospective study by Abe et al. [25] reported that the overall mortality rates of patients with AE-IPF treated with PMX-DHP were 29.9% and 65.5% at 30 and 90 d, respectively. Enomoto et al. [17] also reported a 12-month mortality rate of 51.8% in 31 patients with AE-IPF treated with PMX-DHP, which was significantly lower than that of patients not treated with it (94.1%). However, no significant survival benefits were noted in our study compared with a historical control group in a retrospective study by Song et al. [2], involving 90 patients with AE-IPF, who reported a 1-year mortality rate of 73.1%. The mean P/F ratio at admission in the study conducted by Song et al. [2] was 253 ± 83, while that in our study was 160.0 ± 70.8, indicating a higher severity among the enrolled patients in the present study. Notably, five non-survivors (71.4% of non-survivors) had received corticosteroids within the 3 months prior to the diagnosis of AE-IPF. Most of these corticosteroids were used to treat previous episodes of AE-IPF or coronavirus disease 2019–related pneumonia, which could explain the low P/F ratio observed in the present study. Our study findings were consistent with those of a study conducted by Lee et al. [26] in South Korea involving 10 patients with AE-IPF that reported similar 30- and 90-day mortality rates of 27.3% and 72.7%, respectively. The median P/F ratio in that retrospective study was 83; 60% of the patients underwent mechanical ventilation, whereas 36.4% received ECMO. Another retrospective study conducted by Lee et al. [27] in South Korea involving 22 patients with AE-ILD reported 28- and 90-day mortality rates of 45.5% and 72.7%, respectively, with a median P/F ratio of 116.3.
In this study, PMX-DHP treatment reduced inflammation, as shown by decreased CRP levels after 48 hours in patients with AE-IPF; however, no significant differences were observed in LDH levels or WBC counts. Similarly, a retrospective study by Lee et al. [26] involving 10 patients with AE-ILD (nine with IPF, one with fibrotic nonspecific interstitial pneumonia) showed improved levels of inflammatory markers, including CRP and interleukin (IL)-6 (median CRP: 14 mg/dL vs. 5 mg/dL, p = 0.019; and median IL-6: 79 pg/mL vs. 10 pg/mL, p = 0.018); however, WBC counts did not decrease significantly. Enomoto et al. [17] also reported no significant differences in LDH levels after PMX-DHP treatment in a retrospective study involving 31 patients with 41 episodes of AE-IPF. However, Lee et al. [27], in a retrospective study involving 22 patients with AE-ILD (11 with IPF, 11 with non-IPF) reported that both CRP levels and WBC counts decreased after 48 hours of PMX-DHP treatment (median CRP: 11.6 mg/dL vs. 5.8 mg/dL, p = 0.049; median WBC: 13.9 × 103/μL vs. 8.3 × 103/μL, p = 0.002). Moreover, a retrospective study by Oishi et al. [28] involving nine patients with AE-IPF reported that the levels of CRP and inflammatory cytokines, including IL-9, IL-12, and IL-17, decreased after PMX-DHP treatment.
Our study showed no significant improvement in KL-6 levels after 48 hours of PMX-DHP treatment. However, KL-6 levels increased among the non-survivors following treatment. Furusawa et al. [18], in a study involving 54 patients with AE-ILD (24 with IPF, 30 non-IPF), reported no significant changes in KL-6 levels after PMX-DHP treatment (median values: 1,614 U/mL vs. 1,733 U/mL, p = 0.065), which is in line with our results. In contrast, Seo et al. [20] reported that serum KL-6 levels decreased after PMX-DHP treatment in four out of six patients with AE-IPF. A study by Choi et al. [29], including 96 patients with AE-ILD (58 with IPF, 38 non- IPF), reported that the increase in KL-6 levels over 1 week after hospitalization was higher in non-survivors than in survivors, and suggested that the relative changes in KL-6 level could predict in-hospital mortality among patients with AE-ILD. The lack of improvement in KL-6 levels in our study may be due to the high mortality rate observed in most patients included herein.
In our study, PMX-DHP treatment improved oxygenation in patients with AE-IPF. The multicenter retrospective study by Abe et al. [25] reported that the P/F ratio improved after PMX-DHP treatment in 73 patients with AE-IPF. Oishi et al. [30] investigated the effects of PMX-DHP treatment in 50 patients with AE-IPF by comparing a group that received PMX-DHP treatment (n = 27) with a group that did not (n = 23) and found significant improvement in the P/F ratio in the former (mean P/F ratio: 59.0 ± 15.9 vs. 2.2 ± 17.2, p = 0.044).
The mechanism by which PMX-DHP improves oxygenation in patients with AE-IPF remains unclear. Several studies have suggested that PMX-DHP can absorb inflammatory mediators. Seo et al. [20] reported that IL-6, IL-8, and plasminogen activator inhibitor 1 levels decreased after PMX-DHP treatment in six patients with AE-IPF. In a study of 33 patients with rapidly progressive interstitial pneumonia (17 with idiopathic interstitial pneumonia [IIP], 16 non-IIP), Hara et al. reported decreased serum levels of monocyte chemo-attractant protein-1 (MCP-1) after PMX-DHP treatment [19]. In addition, in a study of two patients with AE-ILD (one with microscopic polyangiitis-associated ILD, the other with IPF), Noma et al. [31] reported that high mobility group box 1 (HMGB1), MCP-1, IL-6, and IL-8 levels were reduced after PMX-DHP treatment. Moreover, Abe et al. [16,32] observed that HMGB1, matrix metalloproteinase-9, and activated neutrophils were reduced in patients with AE-IPF. Oishi et al. [28] showed that proinflammatory (IL-9, -12, -17, -1β, -9, and -23) or profibrotic cytokines (platelet-derived growth factor, fibroblast growth factor, and transforming growth factor-β) were absorbed onto PMX fibers after PMX-DHP treatment in nine patients with AE-IPF.
No adverse events were observed with PMX-DHP treatment in our study, in line with the results of previous studies [26,27]). Abe et al. [25] reported that 12 of 160 (8.0%) patients developed mild thrombocytopenia after PMX-DHP treatment but recovered quickly without transfusion, while no patients discontinued treatment due to adverse events. Meanwhile, of the 50 patients with AE-IPF, Oishi et al. [30] reported that one developed mild thromboembolism and was treated with an anticoagulant, one experienced mild local hematoma after a femoral puncture that resolved spontaneously, and several developed mild thrombocytopenia but recovered without transfusion.
Our study had some limitations. First, the sample size was too small to achieve statistical significance. However, this pilot study was performed in preparation of a large-scale investigation. Further validation is required based on our findings. Second, the study was conducted at a single center with an entirely Korean population, which may limit the generalizability of our findings. However, the baseline characteristics of this population were similar to those in previous studies [26,27]. Third, this study included no control group; therefore, it was difficult to precisely evaluate the effects of PMX-DHP treatment. However, considering that the results of previous studies were consistent with those of our study, the therapeutic effects of PMX-DHP seem insignificant [26,27]. A future randomized controlled trial is expected to enable a comprehensive analysis of its treatment effects to enable a more robust evaluation. Nevertheless, this study is prospective in nature, which allows it to overcome some of the limitations associated with retrospective research, such as selection bias, recall bias, and missing data.
In conclusion, our results suggest that PMX-DHP treatment may improve oxygenation and reduce inflammation in patients with AE-IPF with an acceptable safety profile; however, it does not provide a survival benefit.

KEY MESSAGE

1. PMX-DHP treatment may help to reduce inflammation and improve oxygenation in patients with AE-IPF.

Supplementary Information

Notes

CRedit authorship contributions
Min Jee Kim: methodology, investigation, data curation, formal analysis, software, writing - original draft, writing - review & editing; Jiyoul Yang: investigation, writing - review & editing, project administration; Jin Woo Song: conceptualization, methodology, resources, investigation, data curation, validation, writing - original draft, writing - review & editing, supervision, project administration, funding acquisition
Acknowledgments
We thank KOLON Industries, Inc. for providing the Toraymyxin PMX-20® used in this study.
Conflicts of interest
The authors disclose no conflicts.
Funding
This study was supported by grants from the Basic Science Research Program (NRF-2022R1A2B5B02001602) and the Bio and Medical Technology Development Program (NRF-2022M3A9E4082647) of the National Research Foundation of Korea (NRF), funded by the Ministry of Science and ICT, South Korea. This study was also supported by the National Institute of Health research project (2024ER090500) and the Korea Environment Industry and Technology Institute through Core Technology Development Project for Environmental Diseases Prevention and Management Program funded by the Korea Ministry of Environment (RS-2022-KE002197), South Korea.
Availability of data and materials
The datasets used and/or analyzed during the current study are available from the corresponding author upon reasonable request.

Figure 1
Kaplan–Meier survival curve of overall survival in patients with AE-IPF treated with PMX-DHP. During the median follow- up of 42.0 days, the 30- and 90-day survival rates were 50% and 30%, respectively. AE-IPF, acute exacerbation of idiopathic pulmonary fibrosis; PMX-DHP, direct hemoperfusion with a polymyxin B–immobilized fiber column.
kjim-2024-244f1.jpg
Figure 2
Laboratory data after 48 hours of PMX-DHP treatment in survivors versus non-survivors with AE-IPF. P/F ratio, partial pressure of oxygen to fraction of inspiratory oxygen ratio; (A-a)DO2, alveolar–arterial oxygen pressure difference; CRP, C-reactive protein; KL-6, Krebs von den Lungen-6; PMX-DHP, direct hemoperfusion with a polymyxin B–immobilized fiber column; AE-IPF, acute exacerbation of idiopathic pulmonary fibrosis.
kjim-2024-244f2.jpg
kjim-2024-244f3.jpg
Table 1
Baseline characteristics of 90-day survivors versus non-survivors treated with PMX-DHP
Characteristic Total Non-survivorsa) Survivorsa) p value
Number of patients 10 7 3
Age (yr) 67.0 ± 6.0 65.6 ± 4.3 70.3 ± 9.0 0.271
Sex, male 8 (80.0) 5 (71.4) 3 (100.0) 0.863
Ever-smokers 8 (80.0) 5 (71.4) 3 (100.0) 0.863
BMI (kg/m2) 24.1 ± 3.0 23.9 ± 3.3 24.6 ± 2.6 0.768
Period from IPF diagnosis to AE (mo) 18 (8–77) 26 (11–59) 10 (5–42) 0.424
Diagnosis, SLB (%) 1 (10.0) 1 (14.3) 0 (0) > 0.999
Pulmonary function testb)
 FVC, % predicted 56.2 ± 21.2 55.0 ± 20.1 60.5 ± 33.2 0.769
 FEV1, % predicted 61.3 ± 16.7 59.7 ± 17.4 67.0 ± 18.4 0.620
 DLCO, % predicted 35.6 ± 17.1 31.1 ± 14.3 51.0 ± 22.6 0.160
6-min walk testc)
 Distance (m) 323.4 ± 124.8 295.6 ± 109.4 421.0 ± 168.3 0.232
 Lowest SpO2 (%) 84.6 ± 6.1 83.9 ± 5.6 87.0 ± 9.9 0.557
CCI 2.900 2.857 3.000 0.849
Treatment within 3 months before acute exacerbation
 Steroid 5 (50.0) 5 (71.4) 0 (0) 0.168
 Immunosuppressant 0 (0) 0 (0) 0 (0) > 0.999
 Pirfenidone 8 (80.0) 6 (85.7) 2 (66.7) > 0.999
Preceding oxygen therapy 6 (60.0) 6 (85.7) 0 (0) 0.067
Number of patients who experienced ≥ 1 AE 3 (30.0) 3 (42.9) 0 (0) 0.547
Hospitalization duration (d) 16 (10–37) 19 (16–42.5) 10 (9–10.5) 0.033

Values are presented as mean ± standard deviation, number (%), or median (interquartile range).

PMX-DHP, direct hemoperfusion with a polymyxin B–immobilized fiber column; BMI, body mass index; IPF, idiopathic pulmonary fibrosis; AE, acute exacerbation; SLB, surgical lung biopsy; FVC, forced vital capacity; FEV1, forced expiratory volume in one second; DLCO, diffusing capacity of the lung for carbon monoxide; SpO2, peripheral arterial oxygen saturation; CCI, Charlson Comorbidity Index.

a) The non-survivors and survivors were classified at 90 days from the time of admission.

b) The median duration from the last pulmonary function test to the diagnosis of AE-IPF was 4.3 months.

c) The median period from the last 6-min walk test to the diagnosis of AE-IPF was 5.3 months.

Table 2
Changes in laboratory data after 48 hours of PMX-DHP treatment in patients with AE-IPF
Variable 0 hour 48 hours p value
(A-a)DO2 (mmHg) 266.0 ± 120.0 228.0 ± 132.0 0.157
P/F ratio 160.0 ± 70.8 229.0 ± 158.0 0.054
CRP (mg/dL) 8.3 ± 4.9 3.5 ± 2.8 0.012
KL-6 (U/mL) 1,775.0 ± 981.0 1,811.0 ± 1,062.0 0.751
LDH (IU/L) 317.5 ± 142.0 388.9 ± 121.7 0.395
WBC count (× 103/μL) 10.8 ± 3.4 11.9 ± 3.8 0.465
Platelet count (× 103/μL) 261.4 ± 137.8 230.9 ± 105.8 0.110
eGFR (CKD-EPI) 91.5 ± 13.7 90.7 ± 17.6 0.811

Values are presented as mean ± standard deviation.

PMX-DHP, direct hemoperfusion with a polymyxin B–immobilized fiber column; AE-IPF, acute exacerbation of idiopathic pulmonary fibrosis; (A-a)DO2, alveolar–arterial oxygen pressure difference; P/F ratio, partial pressure of oxygen to fraction of inspiratory oxygen ratio; CRP, C-reactive protein; KL-6: Krebs von den Lungen-6; LDH, lactate dehydrogenase; WBC, white blood cell; eGFR, estimated glomerular filtration rate.

Table 3
Changes in laboratory data after 48 hours of PMX-DHP treatment in survivors versus non-survivors
Variable Non-survivors Survivors p value
(A-a)DO2, absolute (mmHg) −11.5 ± 76.0 −99.3 ± 40.1 0.048
(A-a)DO2, relative (%) 1.32 ± 27.4 −82.0 ± 38.9 0.046
P/F ratio, absolute 16.0 ± 35.1 184.0 ± 84.1 0.065
P/F ratio, relative (%) 15.3 ± 28.3 77.8 ± 3.72 < 0.001
CRP, absolute (mg/dL) −5.7 ± 5.2 −2.8 ± 3.8 0.368
CRP, relative (%) −45.8 ± 44.5 −4.1 ± 125.0 0.626
KL-6, absolute (U/mL) 60.2 ± 409.0 −21.5 ± 164.0 0.664
KL-6, relative (%) 3.1 ± 15.4 −0.2 ± 12 0.728
Platelet count, absolute (103/μL) −23.3 ± 55.9 −47.3 ± 57.5 0.577
Platelet count, relative (%) −6.9 ± 24.5 −10.4 ± 12.5 0.774
eGFR, absolute (mL/min/1.73 m2) 1.4 ± 11.3 −6.0 ± 6.24 0.225
eGFR, relative (%) 2.18 ± 12.3 −8.52 ± 10.3 0.221

Values are presented as mean ± standard deviation.

PMX-DHP, direct hemoperfusion with a polymyxin B–immobilized fiber column; (A-a)DO2, alveolar–arterial oxygen pressure difference; P/F ratio, partial pressure of oxygen to fraction of inspiratory oxygen ratio; CRP, C-reactive protein; KL-6, Krebs von den Lun-gen-6; eGFR, estimated glomerular filtration rate.

REFERENCES

1. Raghu G, Remy-Jardin M, Myers JL, et al. Diagnosis of idiopathic pulmonary fibrosis. an Official ATS/ERS/JRS/ALAT clinical practice guideline. Am J Respir Crit Care Med 2018;198:e44–e68.
pmid
2. Song JW, Hong SB, Lim CM, Koh Y, Kim DS. Acute exacerbation of idiopathic pulmonary fibrosis: incidence, risk factors and outcome. Eur Respir J 2011;37:356–363.
crossref pmid
3. Collard HR, Ryerson CJ, Corte TJ, et al. Acute exacerbation of idiopathic pulmonary fibrosis. an International Working Group report. Am J Respir Crit Care Med 2016;194:265–275.
pmid
4. Raghu G, Collard HR, Egan JJ, et al. An official ATS/ERS/JRS/ALAT statement: idiopathic pulmonary fibrosis: evidence-based guidelines for diagnosis and management. Am J Respir Crit Care Med 2011;183:788–824.
pmid pmc
5. Al-Hameed FM, Sharma S. Outcome of patients admitted to the intensive care unit for acute exacerbation of idiopathic pulmonary fibrosis. Can Respir J 2004;11:117–122.
pmid
6. Cuerpo S, Moisés J, Hernández-González F, et al. Acute exacerbations of idiopathic pulmonary fibrosis: does clinical stratification or steroid treatment matter? Chron Respir Dis 2019;16:1479973119869334.
crossref pmid pmc pdf
7. Papiris SA, Kagouridis K, Kolilekas L, et al. Survival in Idiopathic pulmonary fibrosis acute exacerbations: the non-steroid approach. BMC Pulm Med 2015;15:162.
crossref pmid pmc
8. Suzuki H, Sekine Y, Yoshida S, et al. Risk of acute exacerbation of interstitial pneumonia after pulmonary resection for lung cancer in patients with idiopathic pulmonary fibrosis based on preoperative high-resolution computed tomography. Surg Today 2011;41:914–921.
crossref pmid pdf
9. Naccache JM, Jouneau S, Didier M, et al. Cyclophosphamide added to glucocorticoids in acute exacerbation of idiopathic pulmonary fibrosis (EXAFIP): a randomised, double-blind, placebo-controlled, phase 3 trial. Lancet Respir Med 2022;10:26–34.
crossref pmid
10. Kondoh Y, Azuma A, Inoue Y, et al. Thrombomodulin alfa for acute exacerbation of idiopathic pulmonary fibrosis. a randomized, double-blind placebo-controlled trial. Am J Respir Crit Care Med 2020;201:1110–1119.
crossref pmid
11. Shoji H, Tani T, Hanasawa K, Kodama M. Extracorporeal endotoxin removal by polymyxin B immobilized fiber cartridge: designing and antiendotoxin efficacy in the clinical application. Ther Apher 1998;2:3–12.
crossref pmid
12. Cruz DN, Antonelli M, Fumagalli R, et al. Early use of polymyxin B hemoperfusion in abdominal septic shock: the EUPHAS randomized controlled trial. JAMA 2009;301:2445–2452.
crossref pmid
13. Nemoto H, Nakamoto H, Okada H, et al. Newly developed immobilized polymyxin B fibers improve the survival of patients with sepsis. Blood Purif 2001;19:361–368discussion 368–369.
crossref pmid pdf
14. Nakamura T, Kawagoe Y, Matsuda T, et al. Effect of polymyxin B-immobilized fiber on blood metalloproteinase-9 and tissue inhibitor of metalloproteinase-1 levels in acute respiratory distress syndrome patients. Blood Purif 2004;22:256–260.
crossref pmid pdf
15. Tsushima K, Kubo K, Koizumi T, et al. Direct hemoperfusion using a polymyxin B immobilized column improves acute respiratory distress syndrome. J Clin Apher 2002;17:97–102.
crossref pmid
16. Abe S, Seo Y, Hayashi H, et al. Neutrophil adsorption by polymyxin B-immobilized fiber column for acute exacerbation in patients with interstitial pneumonia: a pilot study. Blood Purif 2010;29:321–326.
crossref pmid pdf
17. Enomoto N, Mikamo M, Oyama Y, et al. Treatment of acute exacerbation of idiopathic pulmonary fibrosis with direct hemoperfusion using a polymyxin B-immobilized fiber column improves survival. BMC Pulm Med 2015;15:15.
crossref pmid pmc pdf
18. Furusawa H, Sugiura M, Mitaka C, Inase N. Direct hemoperfusion with polymyxin B-immobilized fibre treatment for acute exacerbation of interstitial pneumonia. Respirology 2017;22:1357–1362.
crossref pmid pdf
19. Hara S, Ishimoto H, Sakamoto N, et al. Direct hemoperfusion using immobilized polymyxin B in patients with rapidly progressive interstitial pneumonias: a retrospective study. Respiration 2011;81:107–117.
crossref pmid pdf
20. Seo Y, Abe S, Kurahara M, et al. Beneficial effect of polymyxin B-immobilized fiber column (PMX) hemoperfusion treatment on acute exacerbation of idiopathic pulmonary fibrosis. Intern Med 2006;45:1033–1038.
crossref pmid
21. Macintyre N, Crapo RO, Viegi G, et al. Standardisation of the single-breath determination of carbon monoxide uptake in the lung. Eur Respir J 2005;26:720–735.
crossref pmid
22. Miller MR, Hankinson J, Brusasco V, et al. Standardisation of spirometry. Eur Respir J 2005;26:319–338.
crossref pmid
23. Wanger J, Clausen JL, Coates A, et al. Standardisation of the measurement of lung volumes. Eur Respir J 2005;26:511–522.
crossref pmid
24. Holland AE, Spruit MA, Troosters T, et al. An official European Respiratory Society/American Thoracic Society technical standard: field walking tests in chronic respiratory disease. Eur Respir J 2014;44:1428–1446.
crossref pmid
25. Abe S, Azuma A, Mukae H, et al. Polymyxin B-immobilized fiber column (PMX) treatment for idiopathic pulmonary fibrosis with acute exacerbation: a multicenter retrospective analysis. Intern Med 2012;51:1487–1491.
crossref pmid
26. Lee JH, Park JH, Kim HJ, et al. The effects of direct hemoperfusion with polymyxin B-immobilized fiber in patients with acute exacerbation of interstitial lung disease. Acute Crit Care 2021;36:126–132.
crossref pmid pmc pdf
27. Lee SI, Chung C, Park D, Kang DH, Lee JE. Changes in oxygenation and serological markers in acute exacerbation of interstitial lung disease treated with polymyxin B hemoperfusion. J Clin Med 2022;11:2485.
crossref pmid pmc
28. Oishi K, Mimura-Kimura Y, Miyasho T, et al. Association between cytokine removal by polymyxin B hemoperfusion and improved pulmonary oxygenation in patients with acute exacerbation of idiopathic pulmonary fibrosis. Cytokine 2013;61:84–89.
crossref pmid
29. Choi MG, Choi SM, Lee JH, Yoon JK, Song JW. Changes in blood Krebs von den Lungen-6 predict the mortality of patients with acute exacerbation of interstitial lung disease. Sci Rep 2022;12:4916.
crossref pmid pmc pdf
30. Oishi K, Aoe K, Mimura Y, et al. Survival from an acute exacerbation of idiopathic pulmonary fibrosis with or without direct hemoperfusion with a polymyxin B-immobilized fiber column: a retrospective analysis. Intern Med 2016;55:3551–3559.
crossref pmid pmc
31. Noma S, Matsuyama W, Mitsuyama H, et al. Two cases of acute exacerbation of interstitial pneumonia treated with polymyxin B-immobilized fiber column hemoperfusion treatment. Intern Med 2007;46:1447–1454.
crossref pmid
32. Abe S, Hayashi H, Seo Y, et al. Reduction in serum high mobility group box-1 level by polymyxin B-immobilized fiber column in patients with idiopathic pulmonary fibrosis with acute exacerbation. Blood Purif 2011;32:310–316.
crossref pmid pdf

Editorial Office
101-2501, Lotte Castle President, 109 Mapo-daero, Mapo-gu, Seoul 04146, Korea
Tel: +82-2-2271-6792    Fax: +82-2-790-0993    E-mail: kaim@kams.or.kr                

Copyright © 2026 by Korean Association of Internal Medicine.

Close layer
prev next