The Korean Journal of Internal Medicine

Search

Close

Hyung, Lee, Ahn, Lee, Lee, and Lee: Predictive value of the modified ROX index for extubation failure in mechanically ventilated patients

Predictive value of the modified ROX index for extubation failure in mechanically ventilated patients

Kwonhyung Hyung1, Kyung-Eui Lee2, Yoon Hae Ahn2, Jinwoo Lee1, Sang-Min Lee1,2, Hong Yeul Lee2
Received February 18, 2025;       Revised May 7, 2025;       Accepted June 9, 2025;
Abstract
Background/Aims
Clinicians use several measures to determine whether patients will tolerate liberation from mechanical ventilation. This study aimed to evaluate the predictive value of the modified ROX index (mROX) for extubation failure. In addition, we sought to find its role in guiding personalized post-extubation non-invasive respiratory support.
Methods
Patients who received mechanical ventilation and underwent planned extubation between May 2015 and December 2021 in medical intensive care unit were included. The primary outcome was extubation failure, defined as reintubation or death within seven days of extubation. The mROX, calculated as the ratio of partial arterial oxygen pressure to fraction of inspired oxygen (PaO2/FiO2) divided by the respiratory rate, was used to predict extubation failure.
Results
Of the 606 patients, 160 (26.4%) experienced extubation failure. An mROX value below 11.12 was identified as an independent predictor of extubation failure, with an area under the receiver operating characteristic curve of 0.743, demonstrating greater accuracy than traditional indices. The prophylactic application of non-invasive ventilation or high-flow nasal oxygen was associated with a lower risk of extubation failure in the moderate-risk group (11.12 ≤ mROX < 17.55), with an adjusted odds ratio of 0.43 (95% confidence interval, 0.20–0.91); however, this association was not significant in the high-risk (mROX < 11.12) or low-risk (mROX ≥ 17.55) groups.
Conclusions
The mROX is a reliable and clinically useful method for predicting extubation failure. It facilitates improved stratification of extubation risk, allows for more tailored post-extubation non-invasive respiratory support, and may enhance clinical outcomes during the critical processes of ventilator liberation and extubation.
Graphical abstract
Graphical abstract
INTRODUCTION
INTRODUCTION
Liberation from mechanical ventilation is a critical process in the intensive care unit (ICU), accounting for a substantial amount of time patients spend on ventilators [1,2]. Although patients may meet weaning eligibility criteria, extubation failure occurs in 10–20% of cases [3], which prolongs ICU and hospital stays, increases hospital costs, and raises mortality rates [46]. Identifying patients at high risk of extubation failure is therefore essential for improving patient outcomes and optimizing the use of critical care resources. Numerous studies have proposed various clinical factors [3,711] and respiratory indices, including the rapid shallow breathing index (RSBI), Compliance, Rate, Oxygenation, and Pressure (CROP) index, weaning index, and heart rate, acidosis, consciousness, oxygenation, and respiratory rate (HACOR) score [1216], as predictors of extubation failure. However, the inconsistent performance and complexity of calculating these indices underscore the need for more reliable, user-friendly tools.
The ROX index ([oxygen saturation, SpO2/fraction of inspired oxygen, FiO2]/respiratory rate), a simple and easily calculated tool originally developed to predict high-flow nasal oxygen (HFNO) failure [17,18], has also been used to predict extubation outcomes [19]. However, a limitation of the ROX index is the non-linear relationship between SpO2 and partial arterial oxygen pressure (PaO2), particularly at high SpO2 levels, which may reduce its predictive accuracy for extubation outcomes [20,21]. To address this limitation, we propose a modified ROX index (mROX) that replaces SpO2 with PaO2, calculated as the PaO2/FiO2 ratio divided by the respiratory rate [21]. Considering that ICU patients routinely undergo arterial blood gas analysis, incorporating PaO2 into the mROX may enhance predictive precision, particularly in patients with high SpO2 levels.
The primary aim of this study was to evaluate the predictive value of the mROX for extubation failure in patients on mechanical ventilation. We hypothesized that the mROX would offer predictive accuracy comparable to or better than that of the clinical risk factors, sequential organ failure assessment (SOFA) score, RSBI, CROP index, weaning index, HACOR score, and original ROX index. Furthermore, we sought to identify optimal mROX cutoff values for stratifying patients into different risk categories and to explore their potential role in guiding personalized post-extubation non-invasive respiratory support, including the prophylactic use of non-invasive ventilation (NIV) or HFNO to prevent respiratory failure in at-risk patients.
METHODS
METHODS
Study design and patients
Study design and patients
We conducted a retrospective cohort study of adult patients (age ≥ 18 years) admitted to the medical ICU at Seoul National University Hospital, a tertiary referral hospital in South Korea, who received mechanical ventilation and underwent extubation between May 1, 2015 and December 31, 2021. Patients were excluded if they had been on mechanical ventilation for less than 24 hours, underwent hopeless extubation with a documented do-not-resuscitate/do-not-intubate order, experienced unplanned extubation, had a tracheostomy, or were on extracorporeal membrane oxygenation (ECMO) support at the time of extubation. This study was conducted in accordance with the principles of the Declaration of Helsinki. The Institutional Review Board of Seoul National University Hospital waived the requirement for written informed consent owing to the retrospective design and approved the study (No. IRB-H-2003-203-1112).
Study outcomes and data collection
Study outcomes and data collection
The main objective of this study was to evaluate the predictive value of the mROX for extubation outcomes. The primary outcome was extubation failure, defined as the need for reintubation or death within seven days after extubation. Secondary outcomes included the time from extubation to failure, ICU mortality, in-hospital mortality, ICU-free days at 30 days, and hospital length of stay after extubation.
Age greater than 65 years or pre-existing respiratory or cardiac diseases were the recognized clinical risk factors [5]. Respiratory indices were calculated using clinical information collected prior to extubation on the day of extubation. The mROX was calculated as the PaO2/FiO2 ratio divided by the respiratory rate. The CROP index was calculated based on dynamic compliance, respiratory rate, oxygenation, and maximal inspiratory pressure (PImax) [13]. The weaning index was calculated using the RSBI, peak inspiratory pressure, PImax, and minute ventilation [14]. The HACOR score was calculated using heart rate, acidosis, consciousness, oxygenation, and respiratory rate [12]. The initial objective of the HACOR score was to predict NIV failure. However, recent studies have demonstrated its predictive value for extubation failure as well [15,16]. Therefore, the HACOR scores were included in our analysis. As a prophylactic measure, NIV or HFNO masks were applied within 30 minutes of extubation. Helmet NIV was not used in the hospital during the study period. A detailed description of the data collection process is provided in the Supplemental digital content (Appendix 1).
In view of the retrospective nature of the study, the ventilator management strategy, method of spontaneous breathing trial (SBT), decision to extubate, application of NIV or HFNO after extubation, and decision to reintubate were all at the discretion of the attending physician. Weaning readiness was evaluated daily by the attending physicians. The criteria for weaning readiness included evidence of some reversal of the underlying cause of respiratory failure, adequate oxygenation (e.g., PaO2/FiO2 ratio > 150–200; requiring positive end-expiratory pressure ≤ 5–8 cm H2O; FiO2 ≤ 0.4–0.5), and a pH level ≥ 7.25. Additional criteria included hemodynamic stability (defined as no or low-dose vasopressor use) and ability to initiate inspiratory effort [22]. SBT failure was evaluated by the attending physician in accordance with the international standards [23].
Statistical analysis
Statistical analysis
Patient characteristics at baseline and on the day of extubation were presented as frequencies with percentages for categorical variables, analyzed using either the chi-square test or Fisher’s exact test as appropriate. For continuous variables, data were expressed as medians with interquartile ranges (IQRs) or means with standard deviations, depending on the results of the normality test, and were compared using the Mann-Whitney U test or Student’s t-test, respectively. Receiver operating characteristic (ROC) curves were employed to assess the accuracy of predicting extubation failure, with 95% confidence intervals (CIs) for the area under the ROC curve (AUROC) estimated and compared using the bootstrapping method. The optimal cutoff was found to be the mROX value corresponding to the maximum Youden index, representing the best trade-off between sensitivity and specificity. The same method was used to determine the optimal cutoff values for the other indices. A 10-fold cross-validation was carried out to assess internal validity primarily for mROX [24]. Additionally, ROC analysis was conducted separately for each ventilator mode to evaluate potential variations in predictive performance. Logistic regression with a restricted cubic spline function was used to estimate the relationship between mROX and the risk of extubation failure to assess non-linearity. The reference point was the cut-off value derived from Youden’s index in the ROC analysis.
Patients were categorized into significant-risk or non-significant-risk groups based on the mROX optimal cutoff value. The clinical outcomes of the two risk groups were compared using descriptive statistics. The time from extubation to failure was estimated using the Kaplan–Meier method and compared between groups using the log-rank test. The risk of extubation failure associated with the mROX cutoff value was analyzed using a logistic regression model adjusted for previously identified risk factors. Variable selection was performed using the Least Absolute Shrinkage and Selection Operator (LASSO) regression method [25]. Two cutoff values were used to evaluate the effect of prophylactic NIV or HFNO across the three mROX-stratified groups. The first cutoff was derived from the point of the maximum Youden index on the ROC curve. The second cut-off was determined based on the restricted cubic spline model’s nadir point, representing the threshold beyond which the risk of extubation failure plateaued at a consistently low level. Logistic regression with interaction analysis was used in the multivariate analysis to adjust for clinical variables that were identified as risk factors for extubation failure. Two-tailed tests were used for all analyses, with a p value of less than 0.05 considered statistically significant. All statistical analyses were conducted using R software version 4.4.1 (R Foundation for Statistical Computing, Vienna, Austria).
RESULTS
RESULTS
Clinical characteristics of patients
Clinical characteristics of patients
Among the 972 eligible adult patients who received mechanical ventilation and underwent extubation during the study period, 606 who underwent planned extubation were included in the analysis. A total of 366 patients were excluded, including 142 with a duration of mechanical ventilation of less than 24 hours, 108 with hopeless extubation, 95 with unplanned extubation, 16 with tracheostomy, and 5 with ECMO support at the time of extubation (Supplementary Fig. 1). Of the 606 included patients, 160 (26.4%) required reintubation or died within seven days of extubation. The mean age of the patients was 67.4 ± 14.5 years, and 373 (61.6%) were male. The most common primary reason for intubation was acute respiratory failure (n = 438, 72.3%), followed by cardiac arrest (n = 70, 11.6%). Twelve out of the 160 patients died without reintubation in the extubation failure group. Nine out of the 12 patients had transitioned to do-not-intubate status following extubation, and three patients died due to sudden cardiac arrest.
On the day of extubation, the median duration of mechanical ventilation was 3.9 days (IQR 2.3–6.2), and 120 patients (19.8%) had been on mechanical ventilation for seven days or more. From the first separation attempts to liberation termination, 163 patients (26.9%) required seven or more days, 72 patients (11.9%) required one to seven days, and 371 patients (61.2%) were extubated within 24 hours. The PaO2/FiO2 ratio was significantly lower in the extubation failure group compared with the successful extubation group (mean 269 ± 114 vs. mean 324 ± 113, p < 0.001), whereas the respiratory rate was higher (median 21 [IQR 17–26] vs. median 17 [IQR 14–21] breaths per minute, p < 0.001). PImax values were unavailable for 212 patients, limiting the calculation of the CROP and weaning index to 394 patients. All predictive variables, including the RSBI, HACOR score, weaning index, CROP index, ROX index, and mROX, were significantly different between the successful extubation and extubation failure groups. The overall ICU and in-hospital mortality rates were 10.6% and 35.5%, respectively. The extubation failure group had significantly higher ICU and in-hospital mortality rates, as well as longer ICU stays, compared with the successful extubation group. A detailed description of the clinical characteristics according to extubation outcomes is provided in Table 1 and Supplementary Table 1.
Predictive accuracy for extubation failure
Predictive accuracy for extubation failure
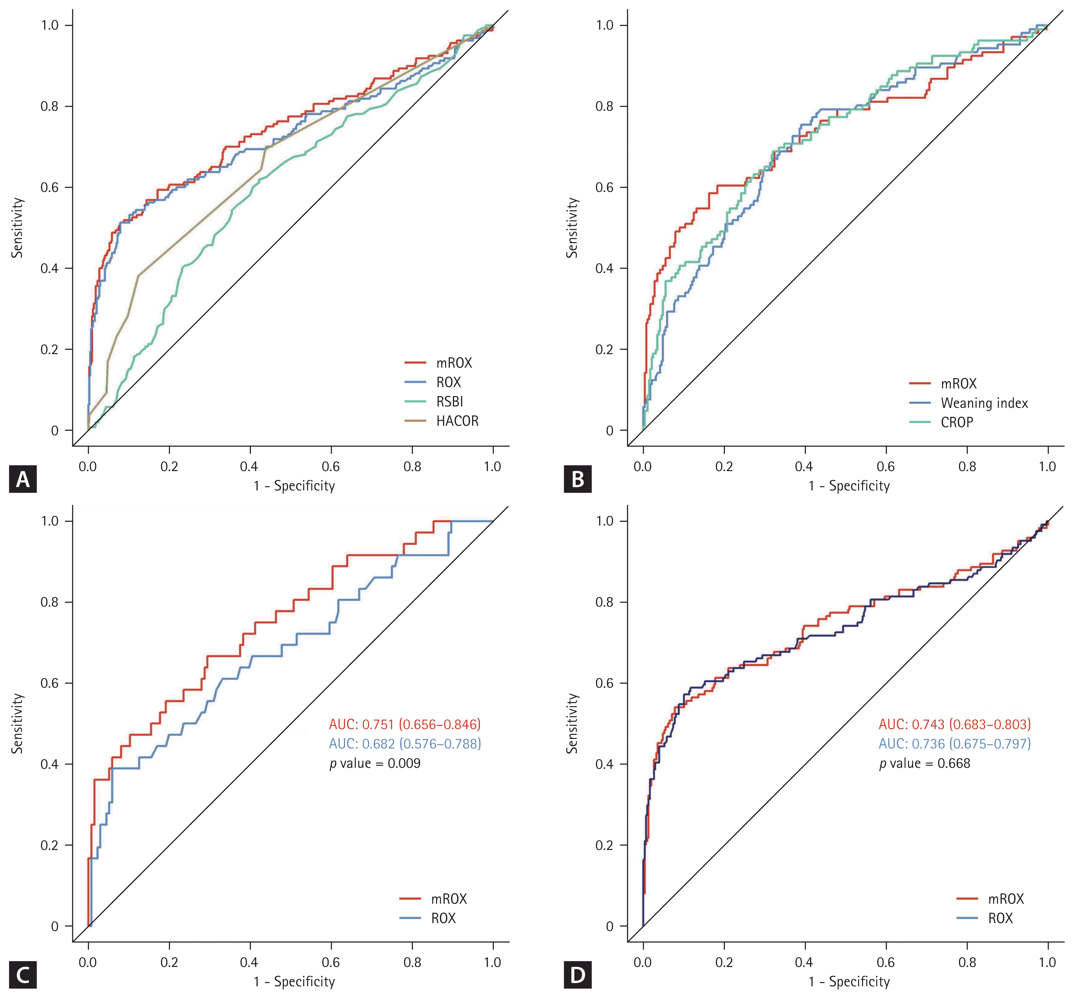
The mROX demonstrated moderate to good accuracy in predicting extubation failure within seven days, with an AUROC of 0.743 (95% CI 0.692–0.794) and an optimal cutoff value of 11.12. At this cutoff, the mROX achieved a sensitivity of 0.51, specificity of 0.92, positive predictive value of 0.70, negative predictive value of 0.84, and overall accuracy of 0.81. The 10-fold cross-validation analysis demonstrated consistent performance, with an average AUROC of 0.740 (95% CI 0.590–0.866) and an optimal cutoff value of 12.78 (95% CI 9.57–16.36). Furthermore, subgroup analysis by ventilator mode revealed similar AUROC and cutoff values across the different modes, with the exception of assist-control ventilation (Supplementary Fig. 2). Due to the small sample size (n = 15), the assist-control ventilation subgroup’s AUROC was 0.660 with a wide 95% CI (0.298–1.000), including 0.5, indicating statistical imprecision. The mROX had a significantly higher AUROC compared with intubation duration (p < 0.001), SOFA score (p = 0.028), RSBI (p < 0.001), and HACOR score (p = 0.005). Although the AUROC for mROX was also higher than for the CROP index (p = 0.644), weaning index (p = 0.333), and ROX index (p = 0.363), these differences were not statistically significant (Table 2). In the subgroup of patients with SpO2 levels exceeding 98%, the mROX demonstrated superior discrimination compared with the ROX index (AUROC 0.751 [95% CI 0.656–0.846] vs. AUROC 0.682 [95% CI 0.576–0.788], p = 0.009). The ROC curves comparing mROX with other predictive variables are depicted in Figure 1.
The risk of extubation failure increased as the mROX decreased; however, this relationship was non-linear (Fig. 2). The risk of extubation failure rose sharply around and below the cutoff value of 11.12 but leveled off for mROX values above 17.55.
Patient stratification by mROX and clinical outcomes
Patient stratification by mROX and clinical outcomes
Patients were stratified into high-, moderate-, or low-risk groups using mROX cutoff values of 11.12 and 17.55. Consequently, 117 patients were assigned to the high-risk (or significant-risk) group (mROX < 11.12), 223 patients to the moderate-risk group (11.12 ≤ mROX < 17.55), and 266 patients to the low-risk group (mROX ≥ 17.55). For comparative purposes, patients in the moderate- and low-risk groups were combined and referred to as the nonsignificant-risk group (mROX ≥ 11.12). Patients in the significant-risk group were more likely to experience reintubation or death within seven days of extubation compared with those in the non-significant-risk group (70.1% vs. 16.0%, p < 0.001). The Kaplan–Meier curve revealed a steeper increase in the risk of reintubation or death in the significant-risk group during the first seven days after extubation, whereas the non-significant-risk group exhibited a more gradual increase in risk (p < 0.001, log-rank test) (Fig. 3). Additionally, the significant-risk group experienced a longer hospital stay (median 31.9 [IQR 14.5–56.1] days vs. median 21.8 [IQR 12.1–43.0] days, p = 0.037) and fewer ICU-free days at 30 days (median 16.0 [IQR 0–26.0] days vs. median 27.1 [IQR 23.0–28.8] days, p < 0.001). Furthermore, both ICU and in-hospital mortality rates were higher in the significant-risk group than in the nonsignificant-risk group (ICU mortality: 29.9% vs. 5.9%, p < 0.001; in-hospital mortality: 57.8% vs. 30.3%, p < 0.001). The most common cause of reintubation in both groups was post-extubation respiratory failure, with a higher prevalence in the significant-risk group compared with the nonsignificant-risk group (74.0% vs. 50.7%, p = 0.005). A detailed description of the clinical outcomes is presented in Table 3.
The LASSO model identified four key independent risk factors for extubation failure: mROX < 11.12, duration of mechanical ventilation > 7 days, SOFA score ≥ 8, and moderate or deep sedation. In the multivariate analysis, mROX < 11.12 emerged as the strongest predictor of reintubation or death within seven days of extubation, with an odds ratio (OR) of 12.58 (95% CI 7.71–20.53). Detailed results of the multivariate analysis can be found in the Supplemental digital content (Appendix 2, Supplementary Table 2).
The effect of the prophylactic application of NIV or HFNO on extubation failure was assessed within each risk group. Among the patients, 319 (52.6%) received prophylactic NIV or HFNO. Those who received this treatment exhibited lower mROX values and higher SOFA scores, and required greater levels of ventilator support, whereas tidal volume and respiratory rate remained similar (Supplementary Table 3). Prophylactic NIV or HFNO was associated with a lower risk of extubation failure in the moderate-risk (11.12 ≤ mROX < 17.55) group, with an adjusted OR of 0.43 (95% CI 0.20–0.91). However, this association was not significant in the high-risk or low-risk groups (Fig. 4). In addition, a significant interaction was observed between the effect of prophylactic NIV or HFNO and the risk group stratified by mROX (high- vs. moderate-risk, p = 0.016; moderate- vs. low-risk, p = 0.035). The effects of prophylactic NIV and HFNO were analyzed independently within each mROX-defined risk group. Forty-six and 273 patients received prophylactic NIV and HFNO, respectively (Supplementary Table 4). Among these, a significant benefit was observed only in the moderate-risk group, in which patients who received prophylactic HFNO had a significantly lower risk of extubation failure (adjusted OR 0.38, 95% CI 0.17–0.85).
DISCUSSION
DISCUSSION
In this study, we evaluated the predictive value of the mROX, an index that incorporates PaO2, FiO2, and respiratory rate, for predicting extubation failure in mechanically ventilated patients. The key findings of this study are as follows: (1) The mROX values were significantly lower in patients who experienced extubation failure than in those with successful extubation. (2) The mROX < 11.12 was a significant independent predictor of extubation failure, demonstrating greater accuracy than traditional indices such as the RSBI. Moreover, the mROX showed better predictive accuracy than the original ROX index in patients with high SpO2. (3) Prophylactic NIV or HFNO reduced the risk of extubation failure in moderate-risk patients (11.12 ≤ mROX < 17.55), even after adjusting for other variables. To the best of our knowledge, this is the first study to use respiratory indices to identify patients who would benefit most from prophylactic NIV or HFNO. These findings suggest that the mROX can effectively stratify patients based on their risk of extubation failure, facilitating more tailored post-extubation non-invasive respiratory support and potentially improving clinical outcomes. While the mROX demonstrated robust predictive performance, it is not intended to replace clinical judgment or serve as a standalone criterion for extubation readiness. Rather, it should be interpreted as a complementary risk stratification tool that offers additional insight into the physiologic status of the patient at the time of extubation—particularly when standard criteria are met but residual risk remains uncertain.
The mROX offers distinct advantages over traditional respiratory indices by incorporating PaO2, FiO2, and respiratory rate, allowing for a more accurate prediction of extubation failure. Unlike the RSBI [13], which focuses solely on respiratory mechanics, the mROX provides a more comprehensive view of the oxygenation status of the patient, making it a more reliable predictor of extubation outcomes. Notably, the mROX demonstrated superior predictive accuracy compared with the RSBI. The predictive accuracies of some indices, such as CROP and weaning index, were comparable to those of mROX. However, since both CROP and weaning index require PImax measurement, which is frequently unavailable at the time of extubation, mROX is more practical and convenient to use. The discriminative power of the original ROX index is limited by the non-linear relationship between SpO2 and PaO2, especially at high SpO2 levels (> 98%), owing to the plateau in the hemoglobin-oxygen dissociation curve [20,21]. By directly incorporating PaO2, the mROX provides more precise information about oxygenation status, particularly in critically high SpO2 ranges, where even minor SpO2 changes can reflect substantial variations in PaO2 [21]. However, in the overall patient population, the mROX did not demonstrate significantly better discrimination for extubation failure compared to the original ROX index. Given that arterial blood gas analysis requires additional medical resources, the trade-off for improved precision may not be justified in patients without high SpO2 levels. In such cases, the original ROX index remains a valuable and practical tool, particularly in cases lacking routine arterial blood gas analysis or in patients without high SpO2 levels.
In this study, mROX demonstrated reliable performance in predicting extubation failure, with a high specificity of 0.92, NPV of 0.84, and PPV of 0.70. The high specificity indicates that patients with successful extubation are unlikely to have an mROX below 11.12. Furthermore, the mROX demonstrated a PPV of 0.70, notably higher than most other predictors, while maintaining a high NPV comparable to existing indices. This balance of PPV and NPV suggests that the mROX provides better overall predictive performance than traditional indices. However, owing to its relatively low sensitivity, additional assessments may be required for patients with a higher likelihood of extubation failure. To ensure a more comprehensive evaluation, the mROX should be used in conjunction with other assessment parameters (e.g., prolonged mechanical ventilation, positive fluid balance, Glasgow Coma Scale score, diaphragm dysfunction, weak cough strength, or copious secretions), especially in patients who exhibit clinical signs of extubation failure despite a higher mROX score. Additionally, a low mROX (< 11.12) should not be interpreted as an absolute contraindication to extubation. Rather, it should be viewed as a signal to re-evaluate the patient’s overall clinical status. Extubation may still be appropriate if there are no other significant risk factors such as prolonged mechanical ventilation, deep sedation, high SOFA score, anemia, or impaired airway protection, albeit with an increased risk of extubation failure when compared with patients with a higher mROX. Conversely, in patients with a low mROX and concomitant risk factors, a brief delay in extubation may be warranted to allow for physiologic improvement (e.g., resolving lung injury or pulmonary edema), provided that the potential harms of continued mechanical ventilation, sedation, and ICU stay are also carefully considered.
Our cohort exhibited a high prevalence of immunocompromised status, malignancies, and cardiovascular and respiratory diseases, contributing to a 26.4% extubation failure rate and increased mortality [3]. Among the 606 patients included in the study, 257 (42.4%) were classified as very high risk for reintubation, with four or more risk factors [26]. Moreover, compared to the previous studies that employed a 48-hour window, the present study’s increased failure rate was attributed to the use of a 7-day window to define extubation failure. A substantial proportion of patients with severe underlying comorbidities transitioned to do-not-intubate status following extubation, resulting in 12 ICU deaths without reintubation and 90 deaths in the general ward without ICU readmission.
To identify patients at risk of extubation failure and guide customized post-extubation non-invasive respiratory support strategies, precise risk stratification tools are required, such as the mROX. Patients with an mROX below 11.12 experienced a 70.1% failure rate and did not benefit from prophylactic NIV or HFNO. The extubation outcome in these patients may not be significantly improved with post-extubation non-invasive respiratory support alone, indicating the need for additional interventions such as volume reduction to prevent weaning-induced pulmonary edema and physiotherapy to enhance respiratory strength [2729]. Conversely, patients with an mROX above 17.55 are at low risk and may not require additional interventions. Notably, moderate-risk patients (11.12 ≤ mROX < 17.55) benefited from prophylactic NIV or HFNO, addressing a critical gap in current practice, where “high-risk” patients are often vaguely defined [30,31]. To evaluate the effects of prophylactic NIV and HFNO individually, separate analyses were performed; the results lacked statistical power, owing to the small number of patients in the NIV group. Interestingly, traditional risk factors, such as age and pre-existing cardiac or respiratory diseases [5], were not significant predictors of extubation failure in our study. Instead, our results suggest that the physiological status of the patient on the day of extubation, as captured by mROX, may be a more accurate predictor of outcomes than age and comorbidities, offering a valuable tool for improving resource allocation and patient care.
This study had several limitations. First, it was conducted at a single tertiary care center, which may limit the generalizability of the findings to other clinical settings. Further studies are required to externally validate the accuracy and cut-off values of mROX. In addition, the retrospective nature of the study may have introduced selection bias and unmeasured confounders, despite our efforts to control for multiple confounding factors. Another limitation was the absence of standardized protocols for the use of NIV and HFNO following extubation, which may have influenced the outcomes. Finally, the patients included in this study were severely ill and had a relatively low body mass index, particularly when compared to those in Western studies. This demographic difference, along with the severity of illness in our cohort, underscores the need for further external validation to ensure generalizability across diverse patient populations and healthcare settings.
In conclusion, our study demonstrated that the mROX is a reliable and practical tool for predicting extubation failure in mechanically ventilated patients. The mROX may improve clinical decision-making by providing superior discrimination, especially in patients with high SpO2. Additionally, it identified a subgroup that benefited from prophylactic NIV or HFNO, potentially improving patient outcomes during the critical ventilator liberation and extubation processes. Further research is warranted to validate these findings in diverse ICU settings and to refine post-extubation non-invasive respiratory support based on mROX stratification.
KEY MESSAGE
KEY MESSAGE
1. The mROX, calculated as PaO2/FiO2 divided by respiratory rate, is a reliable predictor of extubation failure in mechanically ventilated patients.
2. In comparison to other respiratory indices, an mROX value below 11.12 independently predicts extubation failure, demonstrating reliable accuracy.
3. Stratification by mROX effectively identifies risk groups, with moderate-risk patients (11.12 ≤ mROX < 17.55) showing significant benefit from prophylactic application of non-invasive respiratory support in reducing extubation failure rates.

Supplementary Information

Supplementary Information

Notes
Notes

CRedit authorship contributions

Kwonhyung Hyung: conceptualization, methodology, investigation, data curation, formal analysis, writing - original draft, writing - review & editing, visualization; Kyung-Eui Lee: methodology, data curation, writing - review & editing, project administration; Yoon Hae Ahn: resources, data curation, writing - review & editing, project administration; Jinwoo Lee: resources, writing - review & editing, project administration; Sang-Min Lee: conceptualization, resources, writing - review & editing, supervision, project administration; Hong Yeul Lee: conceptualization, methodology, investigation, data curation, validation, writing - review & editing, supervision, project administration, funding acquisition

Conflicts of Interest
Conflicts of Interest

Conflicts of interest

The authors disclose no conflicts.

Notes
Notes

Funding

This research was supported by a grant of the Korea Health Technology R&D Project through the Korea Health Industry Development Institute (KHIDI), funded by the Ministry of Health & Welfare, Republic of Korea (Grant number: RS-2021-KH114109). The funder had no role in the design of the study, the collection and analysis of the data, or the preparation of the manuscript.

Data availability

Data availability

The datasets used and/or analyzed during the current study are available from the corresponding author on reasonable request.

Figure 1
Receiver operating characteristic curve for predicting extubation failure. (A) All included patients (n = 606); (B) patients with available PImax values (n = 394); (C) patients with SpO2 > 98% (n = 172); (D) patients with SpO2 ≤ 98% (n = 434). A detailed description of AUROC and corresponding p values compared to mROX is provided in Table 2. PImax, maximal inspiratory pressure; SpO2, oxygen saturation; AUROC, area under the receiver operating characteristic curve; mROX, modified ROX index; ROX, ROX index; RSBI, rapid shallow breathing index; HACOR, heart rate, acidosis, consciousness, oxygenation, and respiratory rate; CROP, compliance, rate, oxygenation, and pressure.
kjim-2025-058f1.gif
Figure 2
Relationship between the mROX and the risk of extubation failure. The reference value for odds ratio is mROX = 11.12, the cutoff derived from ROC analysis. The vertical dotted line indicates the nadir point of curve (mROX = 17.55), representing the point beyond which the risk of extubation failure plateaued at a consistently low level. mROX, modified ROX index; ROC, receiver operating characteristic.
kjim-2025-058f2.gif
Figure 3
Time to extubation failure according to the mROX. The p values were calculated using the log-rank test. mROX, modified ROX index.
kjim-2025-058f3.gif
Figure 4
Effect of prophylactic application of non-invasive ventilation or high-flow nasal oxygen on extubation failure, assessed within risk groups defined by the mROX. ORs were calculated using logistic regression and adjusted for clinical factors: age, body mass index, duration of mechanical ventilation, sequential organ failure assessment score, moderate or deep sedation, and hemoglobin level. mROX, modified ROX index; ORs, odds ratios; NIV, non-invasive ventilation; HFNO, high-flow nasal oxygen; CI, confidence interval.
kjim-2025-058f4.gif
kjim-2025-058f5.gif
Table 1
Clinical characteristics of study patients
Variable Total (N = 606) Successful extubation (N = 446) Failed extubation (N = 160) p value
At the day of ICU admission
 Age (y) 67.4 ± 14.5 67.0 ± 14.9 68.4 ± 13.1 0.279
  > 65 395 (65.2) 284 (63.7) 111 (69.4) 0.230
 Sex, male 373 (61.6) 275 (61.7) 98 (61.2) > 0.999
 Body mass index (kg/m2) 22.6 ± 4.0 22.6 ± 4.1 22.5 ± 3.9 0.661
 Comorbidities
  Immunosuppression 256 (42.2) 180 (40.4) 76 (47.5) 0.140
  Cardiovascular disease 239 (39.4) 175 (39.2) 64 (40.0) 0.940
  Chronic lung disease 191 (31.5) 146 (32.7) 45 (28.1) 0.328
  Chronic kidney disease 174 (28.7) 120 (26.9) 54 (33.8) 0.124
  Chronic liver disease 90 (14.9) 58 (13.0) 32 (20.0) 0.045
  Malignancy 264 (43.6) 184 (41.3) 80 (50.0) 0.069
 Clinical risk factors for extubation failurea) 491 (81.0) 363 (81.4) 128 (80.0) 0.789
 APACHE II score 21 ± 8 21 ± 8 22 ± 8 0.306
 SOFA score 8 ± 5 8 ± 5 9 ± 4 0.035
 Primary reason for intubation 0.845
  Acute respiratory failure 438 (72.3) 319 (71.5) 119 (74.4)
  Coma or seizure 31 (5.1) 23 (5.2) 8 (5.0)
  Shock 28 (4.6) 22 (4.9) 6 (3.8)
  Cardiac arrest 70 (11.6) 50 (11.2) 20 (12.5)
  Surgery 35 (5.8) 28 (6.3) 7 (4.4)
  Others 4 (0.7) 4 (0.9) 0 (0.0)
At the day of extubation
 SOFA score 5 [3–8] 5 [3–7] 7 [5–10] < 0.001
 Duration of mechanical ventilation (d) 3.9 [2.3–6.2] 3.7 [2.3–5.9] 4.3 [2.6–7.7] 0.018
 Prolonged mechanical ventilation (≥ 7 days) 120 (19.8) 77 (17.3) 43 (26.9) 0.012
 Richmond Agitation-Sedation Scale 0 [−1 to 0] 0 [−1 to 0] 0 [−2 to 0] 0.003
 Use of vasopressors 143 (23.6) 90 (20.2) 53 (33.1) 0.001
 Respiratory rate (per min) 18 [14–22] 17 [14–21] 21 [17–26] < 0.001
 PaO2/FiO2 (mmHg) 309 ± 115 324 ± 113 269 ± 114 < 0.001
 pH 7.45 ± 0.05 7.45 ± 0.05 7.45 ± 0.06 0.342
 PaCO2 (mmHg) 38 ± 8 38 ± 7 38 ± 8 0.153
 Hypercapnia (PaCO2 > 45 mmHg) 82 (13.5) 56 (12.6) 26 (16.2) 0.300
 RSBI 46 [32–65] 44 [31–62] 55 [38–74] < 0.001
 HACOR score 1 [0–2] 0 [0–2] 2 [0–4] < 0.001
 Weaning index 118 [66–205] 97 [59–173] 189 [123–337] < 0.001
 CROP index 59.9 [36.8–108.1] 70.0 [44.5–121.7] 40.5 [19.6–62.1] < 0.001
 ROX index 17.4 [13.2–22.6] 18.5 [15.0–23.8] 12.3 [9.7–18.8] < 0.001
 mROX 16.4 [12.1–22.4] 17.8 [14.1–23.1] 11.0 [8.3–16.9] < 0.001
Outcome
 ICU mortality 64 (10.6) 6 (1.3) 58 (36.2) < 0.001
 In-hospital mortality 215 (35.5) 103 (23.1) 112 (70.0) < 0.001
 In-hospital mortality at 30 days 132 (21.8) 54 (12.1) 78 (48.8) < 0.001
 ICU-free days at 30 daysb) 26.7 [20.8–28.7] 27.8 [25.0–28.9] 11.5 [0–22.0] < 0.001
 Hospital length of stay after extubation (d) 22.5 [12.1–45.5] 22.0 [12.8–42.1] 27.3 [10.7–53.5] 0.524

Values are presented as mean ± standard deviation, frequency (%), or median [interquartile range] as appropriate.

ICU, intensive care unit; APACHE, acute physiologic assessment and chronic health evaluation; SOFA, sequential organ failure assessment; PaO2, partial arterial oxygen pressure; FiO2, fraction of inspired oxygen; RSBI, rapid shallow breathing index; HACOR, heart rate, acidosis, consciousness, oxygenation, and respiratory rate; CROP, compliance, rate, oxygenation, and pressure; ROX index, ratio of oxygen saturation/FiO2 to respiratory rate; mROX, modified ROX index (ratio of PaO2/FiO2 to respiratory rate).

a) Older than 65 years or any underlying chronic cardiorespiratory disease.

b) Defined as the number of days alive and out of the ICU within 30 days after extubation (range 0–30 days).

Table 2
Diagnostic accuracy of different respiratory variables for predicting extubation failure
Variable AUROC (95% CI) Cutoff point Sensitivity Specificity PPV NPV Accuracy p valueb)
Clinical risk factorsa) 0.517 (0.472–0.562) NA 0.80 0.19 0.26 0.72 0.35 < 0.001
Intubation duration (d) 0.563 (0.510–0.616) 8.0 0.25 0.88 0.42 0.77 0.71 < 0.001
SOFA score 0.665 (0.617–0.713) 6.5 0.58 0.67 0.38 0.81 0.64 0.028
RSBI 0.600 (0.549–0.651) 47.25 0.62 0.58 0.34 0.81 0.59 < 0.001
HACOR score 0.663 (0.615–0.711) 2.5 0.38 0.88 0.53 0.80 0.75 0.005
CROP index 0.731 (0.673–0.798) 52.35 0.69 0.68 0.44 0.86 0.68 0.644
Weaning index 0.715 (0.657–0.774) 121.59 0.75 0.61 0.41 0.87 0.65 0.333
PaO2/FiO2 ratio 0.656 (0.603–0.708) 255.0 0.53 0.73 0.41 0.81 0.68 < 0.001
ROX index 0.739 (0.688–0.789) 11.01 0.49 0.92 0.69 0.84 0.81 0.363
mROX 0.743 (0.692–0.794) 11.12 0.51 0.92 0.70 0.84 0.81 Reference

AUROC, area under the receiver operating characteristic curve; CI, confidence interval; PPV, positive predictive value; NPV, negative predictive value; SOFA, sequential organ failure assessment; RSBI, rapid shallow breathing index; HACOR, heart rate, acidosis, consciousness, oxygenation, and respiratory rate; CROP, compliance, rate, oxygenation, and pressure; PaO2, partial arterial oxygen pressure; FiO2, fraction of inspired oxygen; ROX index, ratio of oxygen saturation/FiO2 to respiratory rate; mROX, modified ROX index (ratio of PaO2/FiO2 to respiratory rate); NA, not available.

a) Older than 65 years or any underlying chronic cardiorespiratory disease.

b) p values are comparison of AUROC with mROX.

Table 3
Primary and secondary outcomes for patients stratified by mROX
Outcome Significant-risk, mROX < 11.12 (N = 117) Nonsignificant-risk, mROX ≥ 11.12 (N = 489) p value
Primary outcome
 Reintubation or death within 7 days 82 (70.1) 78 (16.0) < 0.001
Secondary outcome
 Reintubation or death within 48 hours 47 (40.2) 38 (7.8) < 0.001
 Time to reintubation or deatha) (d) 1.5 [0.7–3.1] 2.1 [0.9–3.7] 0.188
 ICU-free days at 30 daysb) 16.0 [0–26.0] 27.1 [23.0–28.8] < 0.001
 ICU length of stay (d) 7.9 [2.2–15.2] 2.2 [1.1–5.0] < 0.001
  ICU survivors 7.1 [1.9–14.1] 2.1 [1.1–4.2] < 0.001
  ICU non-survivors 14.6 [4.5–19.7] 8.3 [3.0–13.8] 0.132
 Hospital length of stay (d) 31.9 [14.5–56.1] 21.8 [12.1–43.0] 0.037
  In-hospital survivors 43.1 [28.1–64.9] 21.1 [12.1–42.8] < 0.001
  In-hospital non-survivors 17.7 [8.0–48.4] 22.8 [12.1–44.0] 0.250
 ICU mortality 35 (29.9) 29 (5.9) < 0.001
 In-hospital mortality 67 (57.8) 148 (30.3) < 0.001
 Cause of reintubationc)
  Cardiopulmonary arrest 5 (6.5) 8 (11.0) 0.496
  Hemodynamic impairment 4 (5.2) 6 (8.2) 0.678
  Post-extubation respiratory failure 57 (74.0) 37 (50.7) 0.005
  Secretion 19 (24.7) 23 (31.5) 0.454
  Post-extubation stridor 2 (2.6) 7 (9.6) 0.145
  Excessive agitation 16 (20.8) 6 (8.2) 0.052
  Changes in mental status 13 (16.9) 16 (21.9) 0.566
  Others 1 (1.3) 3 (4.1) 0.575

Values are presented as frequency (%) or median [interquartile range] as appropriate.

mROX, modified ROX index (ratio of PaO2/FiO2 to respiratory rate); PaO2, partial arterial oxygen pressure; FiO2, fraction of inspired oxygen; ICU, intensive care unit.

a) Time to reintubation or death within 7 days was measured in patients who failed extubation.

b) Defined as the number of days alive and out of the ICU within 30 days after extubation (range 0–30 days).

c) Cause of reintubation was assessed in 150 patients who received reintubation (77 in significant-risk group and 73 in nonsignificant-risk group).

References
References

REFERENCES

1. Esteban A, Anzueto A, Frutos F, Mechanical Ventilation International Study Group, et al. Characteristics and outcomes in adult patients receiving mechanical ventilation: a 28-day international study. JAMA 2002;287:345–355.
[Article] [PubMed]
2. Esteban A, Alía I, Ibañez J, Benito S, Tobin MJ. Modes of mechanical ventilation and weaning. A national survey of Spanish hospitals. The Spanish Lung Failure Collaborative Group. Chest 1994;106:1188–1193.
[Article] [PubMed]
3. Thille AW, Richard JC, Brochard L. The decision to extubate in the intensive care unit. Am J Respir Crit Care Med 2013;187:1294–1302.
[Article] [PubMed]
4. Epstein SK, Ciubotaru RL, Wong JB. Effect of failed extubation on the outcome of mechanical ventilation. Chest 1997;112:186–192.
[Article] [PubMed]
5. Thille AW, Harrois A, Schortgen F, Brun-Buisson C, Brochard L. Outcomes of extubation failure in medical intensive care unit patients. Crit Care Med 2011;39:2612–2618.
[Article] [PubMed]
6. Frutos-Vivar F, Esteban A, Apezteguia C, et al. Outcome of reintubated patients after scheduled extubation. J Crit Care 2011;26:502–509.
[Article] [PubMed]
7. Baptistella AR, Sarmento FJ, da Silva KR, et al. Predictive factors of weaning from mechanical ventilation and extubation outcome: a systematic review. J Crit Care 2018;48:56–62.
[Article] [PubMed]
8. Jaber S, Quintard H, Cinotti R, et al. Risk factors and outcomes for airway failure versus non-airway failure in the intensive care unit: a multicenter observational study of 1514 extubation procedures. Crit Care 2018;22:236.
[Article] [PubMed] [PMC]
9. Miu T, Joffe AM, Yanez ND, et al. Predictors of reintubation in critically ill patients. Respir Care 2014;59:178–185.
[Article] [PubMed]
10. Ionescu F, Zimmer MS, Petrescu I, et al. Extubation failure in critically ill COVID-19 patients: risk factors and impact on in-hospital mortality. J Intensive Care Med 2021;36:1018–1024.
[Article] [PubMed] [PMC]
11. Thille AW, Boissier F, Muller M, et al. Role of ICU-acquired weakness on extubation outcome among patients at high risk of reintubation. Crit Care 2020;24:86.
[Article] [PubMed] [PMC]
12. Duan J, Han X, Bai L, Zhou L, Huang S. Assessment of heart rate, acidosis, consciousness, oxygenation, and respiratory rate to predict noninvasive ventilation failure in hypoxemic patients. Intensive Care Med 2017;43:192–199.
[Article] [PubMed]
13. Yang KL, Tobin MJ. A prospective study of indexes predicting the outcome of trials of weaning from mechanical ventilation. N Engl J Med 1991;324:1445–1450.
[Article] [PubMed]
14. Huaringa AJ, Wang A, Haro MH, Leyva FJ. The weaning index as predictor of weaning success. J Intensive Care Med 2013;28:369–374.
[Article] [PubMed]
15. Chaudhuri S, Gupta N, Adhikari SD, Todur P, Maddani SS, Rao S. Utility of the one-time HACOR score as a predictor of weaning failure from mechanical ventilation: a prospective observational study. Indian J Crit Care Med 2022;26:900–905.
[Article] [PubMed] [PMC]
16. Nayak G, Chaudhuri S, Ravindranath S, Todur P. Comparison of the recent ExPreS Score, WEANSNOW Score, and the parsimonious HACOR Score as the best predictor of weaning: an externally validated prospective observational study. Indian J Crit Care Med 2024;28:273–279.
[Article] [PubMed] [PMC]
17. Roca O, Messika J, Caralt B, et al. Predicting success of high-flow nasal cannula in pneumonia patients with hypoxemic respiratory failure: the utility of the ROX index. J Crit Care 2016;35:200–205.
[Article] [PubMed]
18. Roca O, Caralt B, Messika J, et al. An index combining respiratory rate and oxygenation to predict outcome of nasal high-flow therapy. Am J Respir Crit Care Med 2019;199:1368–1376.
[Article] [PubMed]
19. Eriş E, Mammadova A, Kara AT, Atasoy A, Solmaz ZS, Gürsel G. Prognostic value of the oxygenation index measured during mechanical ventilation and weaning. A retrospective cohort study. Monaldi Arch Chest Dis 2025;95:2840.

20. Brown SM, Duggal A, Hou PC, National Institutes of Health (NIH)/National Heart, Lung, and Blood Institute (NHLBI) Prevention and Early Treatment of Acute Lung Injury (PETAL) Network, et al. Nonlinear imputation of PaO2/FIO2 from SpO2/FIO2 among mechanically ventilated patients in the ICU: a prospective, observational study. Crit Care Med 2017;45:1317–1324.
[PubMed] [PMC]
21. Karim HMR, Esquinas AM. Success or failure of high-flow nasal oxygen therapy: the ROX index is good, but a modified ROX index may be better. Am J Respir Crit Care Med 2019;200:116–117.
[Article] [PubMed] [PMC]
22. MacIntyre NR, Cook DJ, Ely EW Jr, American College of Chest Physicians; American Association for Respiratory Care; American College of Critical Care Medicine, et al. Evidence-based guidelines for weaning and discontinuing ventilatory support: a collective task force facilitated by the American College of Chest Physicians; the American Association for Respiratory Care; and the American College of Critical Care Medicine. Chest 2001;120(6 Suppl):375S–395S.
[Article] [PubMed]
23. Boles JM, Bion J, Connors A, et al. Weaning from mechanical ventilation. Eur Respir J 2007;29:1033–1056.
[Article] [PubMed]
24. Collins GS, Reitsma JB, Altman DG, Moons KG. Transparent reporting of a multivariable prediction model for individual prognosis or diagnosis (TRIPOD): the TRIPOD statement. BMJ 2015;350:g7594.
[Article] [PubMed]
25. Heinze G, Wallisch C, Dunkler D. Variable selection - a review and recommendations for the practicing statistician. Biom J 2018;60:431–449.
[Article] [PubMed] [PMC]
26. Hernández G, Paredes I, Moran F, et al. Effect of postextubation noninvasive ventilation with active humidification vs high-flow nasal cannula on reintubation in patients at very high risk for extubation failure: a randomized trial. Intensive Care Med 2022;48:1751–1759.
[Article] [PubMed] [PMC]
27. Bissett B, Gosselink R, van Haren FMP. Respiratory muscle rehabilitation in patients with prolonged mechanical ventilation: a targeted approach. Crit Care 2020;24:103.
[Article] [PubMed] [PMC]
28. Elkins M, Dentice R. Inspiratory muscle training facilitates weaning from mechanical ventilation among patients in the intensive care unit: a systematic review. J Physiother 2015;61:125–134.
[Article] [PubMed]
29. Liu J, Shen F, Teboul JL, et al. Cardiac dysfunction induced by weaning from mechanical ventilation: incidence, risk factors, and effects of fluid removal. Crit Care 2016;20:369.
[Article] [PubMed] [PMC]
30. Ouellette DR, Patel S, Girard TD, et al. Liberation from mechanical ventilation in critically ill adults: an official American College of Chest Physicians/American Thoracic Society clinical practice guideline: inspiratory pressure augmentation during spontaneous breathing trials, protocols minimizing sedation, and noninvasive ventilation immediately after extubation. Chest 2017;151:166–180.
[PubMed]
31. Rochwerg B, Brochard L, Elliott MW, et al. Official ERS/ATS clinical practice guidelines: noninvasive ventilation for acute respiratory failure. Eur Respir J 2017;50:1602426.
[Article] [PubMed]
Appendices
Appendices
Data collection

Patients with missing PImax values were excluded from the calculations and comparisons involving the compliance, rate, oxygenation, and pressure (CROP) and weaning index. Following planned extubation, the dates and times of non-invasive ventilation (NIV) or high-flow nasal oxygen (HFNO) administration, reintubation, death, and discharge from the intensive care unit (ICU) or hospital were recorded. For patients requiring reintubation, the reasons for reintubation were assessed. We reviewed electronic medical records to collect clinical information at baseline, on the day of extubation, and regarding clinical outcomes. We also collected baseline demographic data, clinical data, and laboratory results from the day of ICU admission.

Immunosuppression was defined as the presence of any of the following conditions: primary immunodeficiency disorder, human immunodeficiency virus (HIV) infection or acquired immune deficiency syndrome (AIDS) with a CD4 T-cell count < 200 cells/μL, receipt of a solid organ or hematopoietic stem cell transplant, or the administration of chemotherapy or immunosuppressants, including corticosteroids (prednisolone ≥ 20 mg/day or an equivalent dose of other corticosteroids for 2 weeks or longer) within the last 3 months. On the day of extubation, driving pressure, positive end-expiratory pressure (PEEP), tidal volume, and minute ventilation were recorded using the median values from the 5 hours preceding extubation, alongside clinical information, laboratory test results, and ventilator settings. Arterial blood gas analysis (ABGA) values obtained within this time range, which usually included the routine ABGA performed at 6:00 am or 12:00 pm. The attending nurse assessed the amount of respiratory secretion. Additionally, the method and duration of the final spontaneous breathing trial (SBT) were documented.

Risk factors for extubation failure within seven days

The multivariable analysis included various risk factors for extubation failure: age, sex, body mass index (BMI), comorbidities, reason for intubation, duration of mechanical ventilation, sequential organ failure assessment (SOFA) score, sedation status, hemoglobin level, difficult or prolonged weaning, and copious secretion. The Least Absolute Shrinkage and Selection Operator (LASSO) model identified eight variables that were predictive of extubation outcomes: age, BMI, duration of mechanical ventilation > 7 days, SOFA score ≥ 8, moderate or deep sedation, hemoglobin < 10 g/dL, and modified ROX index (mROX). In the multivariate analysis, an mROX of less than 11.12 was found to be an independent risk factor for reintubation or death within 7 days after extubation (odds ratio 12.58, 95% confidence interval 7.71–20.53). Additionally, a duration of mechanical ventilation > 7 days, a SOFA score ≥ 8, and moderate or deep sedation were also associated with an increased risk of extubation failure. A detailed result is presented in Supplementary Table 1.

hanmi Memo patch yungjin
daewoongbio ics samyangbiopharm

Go to Top