The Korean Journal of Internal Medicine

Search

Close

Yu, Yong, Lee, Kim, Lee, Na, Kim, Oh, and Lee: Prevalence of chronic rhinosinusitis and its relating factors in patients with bronchiectasis: findings from KMBARC registry

Prevalence of chronic rhinosinusitis and its relating factors in patients with bronchiectasis: findings from KMBARC registry

Iseul Yu1, Suk Joong Yong1, Won-Yeon Lee1, Sang-Ha Kim1, Hyun Lee2, Ju Ock Na3, Deog Kyeom Kim4, Yeon-Mok Oh5, Ji-Ho Lee1
Received February 19, 2022;       Revised April 18, 2022;       Accepted April 20, 2022;
Abstract
Background/Aims
Patients with bronchiectasis often present with respiratory symptoms caused by chronic rhinosinusitis (CRS). However, studies on the prevalence of CRS and its relationship with bronchiectasis are limited.
Methods
The baseline characteristics of patients with bronchiectasis recruited from the Korean Multicenter Bronchiectasis Audit and Research Collaboration were analyzed. CRS diagnosis was determined by a physician, on the basis of medical records, upper airway symptoms, and/or radiologic abnormalities. Questionnaires for quality of life, fatigue, and depression were administered when patients were stable for a minimum of 4 weeks after the bronchiectasis exacerbation.
Results
The prevalence of CRS was 7.1% (66/931). Patients with CRS were significantly younger than those without CRS (60.5 ± 10.7 years vs. 64.6 ± 9.3 years, p = 0.001). Idiopathic bronchiectasis was more common in patients with CRS compared to those without CRS (53.0% vs. 36.0%, p = 0.006). Lung function, inflammatory markers, exacerbations, bronchiectasis severity, and scores for quality of life, fatigue, and depression did not differ between the two groups. In a logistic regression analysis, CRS was associated with age of bronchiectasis diagnosis (odds ratio [OR], 0.96; 95% confidence interval [CI], 0.94 to 0.99; p = 0.003) and idiopathic bronchiectasis (OR, 1.95; 95% CI, 1.12 to 3.34; p = 0.018).
Conclusions
The prevalence of CRS was relatively low. CRS was not associated with the severity or clinical outcomes of bronchiectasis. Early diagnosis and idiopathic etiology were associated with CRS. Our findings reflect the low recognition of CRS in the clinical practice of bronchiectasis and highlight the need for awareness of CRS by adopting objective diagnostic criteria.
Graphical abstract
Graphical abstract
INTRODUCTION
INTRODUCTION
Bronchiectasis is defined as an irreversible dilation of the airway that results in impaired mucociliary clearance and accumulation of mucus or bacteria [1]. Thus, patients with bronchiectasis often present with excessive sputum production and recurrent bacterial infections. Although bronchiectasis is quite common, its prevalence and impact have been studied for the past two decades [2]. It is often difficult to determine etiology of bronchiectasis or contributing factors in more than 50% of patients, which is considered idiopathic. Upper airway disease has not been regarded as an etiology of bronchiectasis.
United airway disease is the concept that upper and lower airways are not dissociated, but forms a single organ [3]. Thus, any disease process that affects the upper airway is likely to affect the lower airway and vice versa. The archetype is the allergic rhinitis (AR) in asthma [4]. Approximately 80% of patients with asthma have AR. AR was associated with increased risk of the development of asthma and severity of AR was positively correlated with severity of asthma. Chronic rhinosinusitis (CRS) is defined as sinonasal inflammation that persists for ≥ 12 weeks [5]. Respiratory symptoms owing to CRS and abnormalities in sinus radiographs or computed tomography (CT) are commonly observed in patients with bronchiectasis. A recent meta-analysis reported that the prevalence of CRS was 62% in bronchiectasis [6]. Additionally, CRS was associated with higher bronchiectasis severity, poor quality of life, and frequent exacerbations [6]. However, the study population was small, and the majority of studies were conducted in a few countries.
Considering the insufficient evidence on the relationship between CRS and bronchiectasis, additional studies on the prevalence of CRS and its relationship with bronchiectasis are warranted. This study aimed to determine the prevalence of CRS and related factors in a large cohort of patients with bronchiectasis.
METHODS
METHODS
Study population
Study population
The data source for this study was the Korean Multicenter Bronchiectasis Audit and Research Collaboration (KMBARC). The KMBARC was organized to examine the clinical characteristics and phenotypes of patients with bronchiectasis, promote clinical studies, and improve treatment and instructions for the diagnosis and management of bronchiectasis. The KMBARC protocol primarily followed the European Multicenter Bronchiectasis Audit and Research Collaboration (EMBARC). The inclusion criteria were adult patients aged ≥ 18 years and those with bronchiectasis affecting one or more lobes demonstrated on chest CT, irrespective of the presence of respiratory symptoms. The exclusion criteria were cystic fibrosis, traction bronchiectasis due to interstitial lung disease, and treatment for pneumonia, pulmonary tuberculosis, or non-tuberculous mycobacterial infection. Baseline data were collected at study enrollment, and follow-up data were scheduled to be obtained annually for a minimum of 5 years. This study was conducted using baseline data. The study protocol and baseline characteristics of KMBARC compared with those of other international cohorts have been described in more detail in recent publications [7,8].
The Institutional Review Board of Wonju Severance Christian Hospital (CR318139) and of all participating institutions approved the study and adhered to the principles of the Declaration of Helsinki. Written informed consent was obtained from all patients before enrollment in the study.
Data collection
Data collection
The patients were enrolled by a pulmonologist from 50 hospitals between August 2018 and April 2021. According to the definition of bronchiectasis exacerbation for clinical research, which was suggested by international consensus, bronchiectasis exacerbation was defined when patients with bronchiectasis had deteriorating symptoms in three or more of the six following conditions for a minimum of 48 hours: cough, sputum volume and/or consistency, sputum purulence, breathlessness and/or exercise tolerance, fatigue and/or malaise, and hemoptysis, and a change in treatment for the control of respiratory symptoms was required [9]. The number of exacerbations and hospitalizations was restricted to previous 1 year before study enrollment.
The etiology of bronchiectasis was determined at the physician’s discretion. The radiological severity of bronchiectasis was evaluated using the modified Reiff score, which assesses the characteristics of bronchial dilatation and number of involved lobes [10]. The clinical severity of bronchiectasis was measured using the following two scoring systems: bronchiectasis severity index (BSI) and FACED [11,12].
The Bronchiectasis Health Questionnaire (BHQ) was developed and validated to measure disease-specific health status in patients with bronchiectasis [13,14]. The BHQ has 10 items answered on a seven points scale (1 to 7 points). The total summation of the BHQ was transformed to a range of 0 to 100 points, with higher scores indicating a better quality of life. The Fatigue Severity Score (FSS) was used to measure fatigue symptoms. FSS has nine items answered on a seven points scale (1 to 7 points). FSS is the summation of each variable, ranging from 9 to 63 points, with higher scores representing more severe fatigue [15,16]. The Patient Health Questionnaire 9 (PHQ-9) was used to assess depressive symptoms [17]. PHQ-9 has nine items that are answered on a four points scale (0 to 3 points). PHQ-9 ranges from 0 to 27 points, with higher scores indication more severe depression. These three questionnaires were administered when patients were stable for a minimum of 4 weeks apart from the exacerbation of bronchiectasis.
Outcome variables
Outcome variables
The diagnosis of CRS or nasal polyps was determined by patients’ response to written questionnaires. No predefined diagnostic criteria were used for the evaluation of CRS in our cohort. The presence of either CRS or nasal polyps was considered as CRS. CRS prevalence was defined as the ratio of patients with CRS among the study population. Bronchiectasis duration was defined as the interval between the first date of bronchiectasis diagnosis and the date of study enrollment. The age at bronchiectasis diagnosis was determined by the first date of bronchiectasis diagnosis, which was based on medical records or patient interviews.
Statistical analysis
Statistical analysis
Descriptive statistics are presented as mean values with standard deviations for continuous variables and numbers of patients with percentages for categorical variables. An independent t test was applied for continuous variables, and the chi-square test was applied for categorical variables to compare baseline characteristics between patients with and without CRS. The factors associated with CRS were examined using binary logistic regression analysis and presented as odds ratios (ORs) with 95% confidence intervals (CIs). The multivariable analysis included factors associated with CRS in previous studies and variables significantly different between patients with and without CRS in univariable analyses. Statistical analyses were conducted using the SPSS statistical software version 25.0 (IBM Co., Armonk, NY, USA) and R software version 4.0.3 (R Development Core Team, Vienna, Austria). Statistical significance was set at p < 0.05.
RESULTS
RESULTS
Baseline characteristics
Baseline characteristics
In total, 931 patients with bronchiectasis were enrolled in this study. Among them, 66 were identified as having CRS. Therefore, the prevalence of CRS was 7.1%. The baseline characteristics were compared between patients with and without CRS (Table 1). Patients with CRS were significantly younger than those without CRS (60.5 ± 10.7 years vs. 64.6 ± 9.3 years, p = 0.001). The proportion of female was 54.5% and 56.3% for patients with and without CRS, respectively (p = 0.788). Duration of bronchiectasis was 2.9 ± 1.6 and 3.3 ± 1.6 years for patients with and without CRS, respectively (p = 0.136). Proportion of patients with asthma was 22.7% and 20.0% for patients with and without CRS, respectively (p = 0.283). The etiology of bronchiectasis was also compared between the two groups. Post-infectious bronchiectasis was more common in patients without CRS than in those with CRS (20.0% vs. 7.6%, p = 0.013). However, idiopathic bronchiectasis was more common in patients with CRS compared to those without CRS (53.0% vs. 36.0%, p = 0.006). Tuberculosis origin was 13.6% in patients with CRS and 20.6% in those without CRS (p = 0.175). Colonization of Pseudomonas aeruginosa and sputum volume were comparable between the two groups.
Comparison of clinical index and laboratory results
Comparison of clinical index and laboratory results
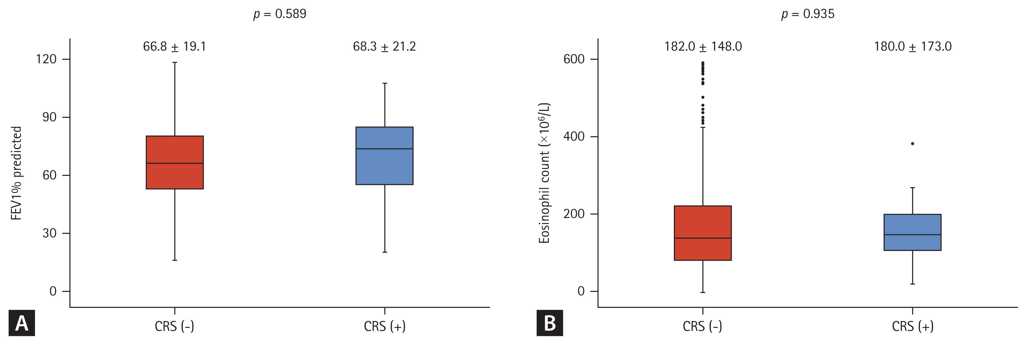
Clinical indices and laboratory test results were analyzed (Table 2). Number of exacerbations for previous 1 year was 1.0 ± 1.3 and 0.9 ± 1.7 for patients with and without CRS, respectively (p = 0.801). Hospitalization rate was 10.6% and 17.5% in patients with and without CRS, respectively (p = 0.153). Patients with respiratory failure and treated with long term oxygen therapy or noninvasive ventilation were significantly higher in patients with CRS compared to those without CRS (6.1% vs. 2.0%, p = 0.031). The modified Reiff score was 11.4 ± 4.4 and 12.1 ± 4.1 for patients with and without CRS, respectively (p = 0.212). Forced expiratory volume in 1 second % (FEV1%) predicted (Fig. 1A) and blood eosinophil count (Fig. 1B) was not different in patients with CRS compared to those without CRS.
The BHQ (Fig. 2A), FSS (Fig. 2B), and PHQ-9 depressive symptom score (Fig. 2C) did not differ for patients with CRS and for those without CRS. The severity of bronchiectasis assessed using BSI (Fig. 3A) and FACED (Fig. 3B) was classified into mild, moderate, and severe. No difference was found in the severity classification between the two groups (BSI, p = 0.169; FACED, p = 0.142).
Relevant factors underlying CRS in bronchiectasis
Relevant factors underlying CRS in bronchiectasis
Univariable and multivariable analyses were conducted to identify the CRS-related factors (Supplementary Table 1). In a multivariable analysis, young age at bronchiectasis diagnosis was identified as a factor associated with CRS (OR, 0.96; 95% CI, 0.94 to 0.99; p = 0.003) (Fig. 4). Idiopathic bronchiectasis was also associated with CRS (OR, 1.95; 95% CI, 1.12 to 3.34; p = 0.018).
DISCUSSION
DISCUSSION
This study presents that the prevalence of CRS in the Korean bronchiectasis cohort was 7.1%. The severity and clinical outcomes of bronchiectasis were comparable between the patients with and without CRS. Early diagnosis and idiopathic etiology of bronchiectasis were significant factors associated with CRS.
The prevalence of CRS in patients with bronchiectasis was examined in a recent systematic review [6]. The mean prevalence of CRS was 62% (range, 32% to 80%) [1825]. CRS was defined as two or more of the following upper respiratory symptoms: nasal obstruction, congestion, facial pain/ pressure, reduction or loss of smell for 12 weeks, and/or paranasal sinus inflammation demonstrated by endoscopy or CT according to the European Position Paper on Rhinosinusitis and Nasal Polyp (EPOS) criteria [26]. However, all included studies were conducted with a small number of study participants (range, 60 to 161). Other international and nationwide cohorts of bronchiectasis have rarely reported the prevalence of CRS [27]. A recent Korean population-based study did not address CRS as bronchiectasis-related comorbidity [28]. A study of the baseline characteristics of EMBARC did not describe CRS in comorbidities [29]. Additionally, studies on the characteristics of KMBARC compared to those of India and Australia registries did not report the prevalence of CRS [8,30,31]. Therefore, an exact comparison of the prevalence of CRS with that of other cohorts is not feasible. Large nationwide cohorts lacking the prevalence of CRS as compared to that in small cohorts reporting a high prevalence of CRS did not employ predefined criteria for CRS, such as EPOS, as with KMBARC. Therefore, the absence of diagnostic criteria may have affected the low prevalence of CRS in our study. Moreover, the prevalence of CRS in general population has been variable, ranging from 1.0% to 12.1% worldwide [32]. The prevalence of CRS based on symptoms and sinus radiology was 3.0% to 6.4% in Netherlands [33]. The prevalence of CRS was 3.86% in the fifth Korea National Health and Examination Survey [34]. Accordingly, the prevalence of CRS in our study was similar or slightly higher than in the general population. Our study results might reflect an underestimation of CRS, and active screening of CRS is necessary in the clinical practice of bronchiectasis.
Previous studies have reported the influence of CRS on clinical outcomes of bronchiectasis. A single study reported significant lower FEV1% for those with CRS compared to those without CRS among patients with bronchiectasis (75.8% ± 3.0% vs. 90.0% ± 4.0%, p < 0.05) [25]. However, no difference in lung function was noted in other studies [22,24]. Bronchiectasis severity assessed using the CT was significantly higher in patients with CRS than in those without CRS [19,24,25], whereas clinical severity assessed using BSI did not differ [22]. A study reported a greater risk of bronchiectasis exacerbation in patients with CRS than in those without CRS (p = 0.02) [22]. On the contrary, FEV1%, severity of bronchiectasis using CT and clinical index, and exacerbation risk was not different between patients with and without CRS in our study. These negative study results might be attributed to the different study populations and protocols used. Meanwhile, considering the small number of study participants in most previous studies, the results are difficult to generalize. Therefore, further studies of the clinical implications of CRS in bronchiectasis are warranted.
Few studies have compared the clinical manifestations according to the etiology of bronchiectasis. Almost patients with idiopathic bronchiectasis had CRS compared to those with post-infective bronchiectasis (84% vs. 50%, p < 0.01) [35]. The age at bronchiectasis diagnosis was lower in patients with CRS (38 ± 2.5 years) compared to those without CRS (47 ± 4 years), although statistical significance was not found [24]. Our study results are consistent with previous studies, reporting that early age at bronchiectasis diagnosis and idiopathic bronchiectasis were identified as factors associated with the presence of CRS. When etiology of bronchiectasis is investigated, upper airway disease including CRS is not considered as a cause of bronchiectasis. However, recent observational study reported the temporal relationship between CRS and bronchiectasis [36]. Bronchiectasis was diagnosed after 6 years of precedent CRS. CRS without nasal polyps was strongly associated with bronchiectasis compared to CRS with nasal polyps (OR, 4.46 vs. 2.21). CRS without nasal polyps was more prevalent in young adulthood, whereas CRS with nasal polyps had a significantly older age distribution [37]. These findings are consistent with united airway hypothesis. Potential mechanisms of this hypothesis are drainage of the upper inflammatory mediators into lower airway through aspiration, dissemination of the upper airway inflammation via bloodstream, and neural modulation proven in nasal provocation with allergen [38]. Accordingly, age distribution of CRS phenotype and temporal relationship with bronchiectasis might contribute to the early diagnosis of bronchiectasis in patients with CRS. CRS might be considered as a potential cause of bronchiectasis, particularly before classifying it into idiopathic bronchiectasis.
This study has several limitations. First, this study lacked predefined diagnostic criteria for CRS. We did not collect detailed information on CRS based only on symptoms or accompanying objective tests such as paranasal CT or endoscopy. Diagnosis of CRS was based on merely patients’ response to written questionnaires. Meticulous investigation through electronic chart review and history taking for CRS might not be conducted. Therefore, it is presumed that a lack of diagnostic criteria affects low prevalence and overall study outcomes of CRS. However, to the best of our knowledge, this is the first study to report the prevalence of CRS in a large nationwide cohort. Second, apart from the relatively lower prevalence of CRS, the imbalanced sample size between patients with and without CRS might have affected the comparative analysis of clinical outcomes. Third, the etiology of bronchiectasis was determined at the physician’s discretion. Idiopathic bronchiectasis is generally diagnosed if its specific causes are unknown. Therefore, it is prone to recall bias because it depends on the patients’ memory.
In this study, the prevalence of CRS in bronchiectasis was comparatively low. CRS was not associated with the severity or clinical outcomes of bronchiectasis. Early diagnosis and idiopathic etiology were associated with CRS. Our findings reflect the low recognition of CRS in the clinical practice of bronchiectasis and highlight the need for awareness of CRS by adopting objective diagnostic criteria. The further assessment of the prevalence and implications of CRS may help comprehend the role of CRS and optimize the treatment of bronchiectasis.
KEY MESSAGE
KEY MESSAGE
1. The prevalence of chronic rhinosinusitis (CRS) was 7.1% in the Korean bronchiectasis cohort.
2. Early age at bronchiectasis diagnosis and idiopathic bronchiectasis were associated with the presence of CRS.
3. Our findings reflect low recognition of CRS in the clinical practice of bronchiectasis and highlight the need for awareness of CRS by adopting objective diagnostic criteria.

Supplementary Information

Supplementary Information

Acknowledgments
Acknowledgments

This study was supported by the National Research Foundation of Korea (NRF) grant funded by the Korean government (MSIT) (No. 2020R1G1A1007190). The authors thank all members of the Korean Multicentre Bronchiectasis Audit and Research Collaboration (KMBARC) registry: Hayoung Choi, Yun Su Sim, Woo Jin Kim, Kwang Ha Yoo, Seung Jun Lee, Tae-Hyung Kim, Bumhee Yang, Ina Jeong, Soo-Jung Um, Ji-Hyun Lee, Byoung Soo Kwon, Young-Jae Cho, Chang-Hoon Lee, Chin Kook Rhee, Sang Haak Lee, An-Soo Jang, Ji Ye Jung, Changhwan Kim, Youlim Kim, Chang Youl Lee, Hyun Kuk Kim, Hye Yun Park, Jae Seung Lee, Sei Won Lee, Seung Won Ra, Sung-Yoon Kang, Yee Hyung Kim, Yong Bum Park, Sooim Sin, So-Young Park, Junghyun Kim, Young-Soon Yoon, Yun Jeong Jeong, Jung-Kyu Lee, Ki Uk Kim, Hyun-Kyung Lee, Eun Kyung Kim, Se Hee Lee, Jae Sung Choi, Hyung Koo Kang, Yong-Soo Kwon, Jae Ha Lee.

Conflicts of Interest
Conflicts of Interest

No potential conflict of interest relevant to this article was reported.

Figure 1
Comparison of forced expiratory volume in 1 second % (FEV1%) predicted (A) and blood eosinophil count (B) according to the presence of chronic rhinosinusitis (CRS).
kjim-2022-070f1.gif
Figure 2
Results of three patient-reported outcomes. (A) Bronchiectasis Health Questionnaire, (B) Fatigue Severity Score, and (C) Patient Health Questionnaire 9 are compared between patients with and without chronic rhinosinusitis (CRS).
kjim-2022-070f2.gif
Figure 3
Severity of bronchiectasis classified by (A) bronchiectasis severity index (BSI) and (B) FACED are compared between patients with and without chronic rhinosinusitis (CRS).
kjim-2022-070f3.gif
Figure 4
Odds ratios predictive of chronic rhinosinusitis in a multivariable analysis. FEV1%, forced expiratory volume in 1 second %; CI, confidence interval. aAll variables presented in figure were adjusted.
kjim-2022-070f4.gif
kjim-2022-070f5.gif
Table 1
Baseline characteristics of study subjects and comparison between patients with and without chronic rhinosinusitis
Variable CRS (−) (n = 865) CRS (+) (n = 66) p value
Age, yr 64.6 ± 9.3 60.5 ± 10.7 0.001
Female sex 486 (56.3) 36 (54.5) 0.788
Duration, yr 3.3 ± 1.6 2.9 ± 1.6 0.136
Ever smoker 295 (34.1) 21 (31.8) 0.701
Body mass index 22.9 ± 3.4 23.1 ± 3.9 0.636
Asthma 173 (20.0) 15 (22.7) 0.283
COPD 295 (34.1) 25 (37.9) 0.387
Etiology
 Post-infectious 173 (20.0) 5 (7.6) 0.013
 Idiopathic 311 (36.0) 35 (53.0) 0.006
 Tuberculosis 178 (20.6) 9 (13.6) 0.175
 NTM 39 (4.5) 4 (6.1) 0.563
 Asthma or COPD 57 (6.6) 3 (4.5) 0.514
 RA 17 (2.0) 0 0.250
 Othersa 19 (2.2) 7 (10.6) < 0.001
PA colonization 59 (6.8) 7 (10.6) 0.248
Sputum volume, cc/day 26.2 ± 44.1 48.2 ± 113.3 0.130
Sputum volume, ≥ 30 cc/day 215 (25.5) 19 (30.2) 0.416

Values are presented as mean ± standard deviation or number (%).

CRS, chronic rhinosinusitis; COPD, chronic obstructive pulmonary disease; NTM, nontuberculosis mycobacterium; RA, rheumatoid arthritis; PA, Pseudomonas aeruginosa.

a Inflammatory bowel disease, primary ciliary dyskinesia, antibody deficiency, diffuse panbronchiolitis, gastroesophageal reflux disease, and allergic bronchopulmonary aspergillosis.

Table 2
Comparison of clinical index and laboratory test results between patients with and without chronic rhinosinusitis
Variable CRS (−) (n = 865) CRS (+) (n = 66) p value
Number of exacerbations 0.9 ± 1.7 1.0 ± 1.3 0.801
Hospitalization 151 (17.5) 7 (10.6) 0.153
LTOT or NIV 17 (2.0) 4 (6.1) 0.031
Forced vital capacity, L 2.6 ± 0.8 2.7 ± 0.8 0.469
Forced vital capacity, % 73.7 ± 15.7 75.7 ± 17.3 0.403
Radiologic extent (lobe) 3.4 ± 1.7 3.4 ± 1.6 0.418
Modified Reiff score 12.1 ± 4.1 11.4 ± 4.4 0.212
C-reactive protein, mg/dL 1.5 ± 2.9 1.1 ± 1.6 0.324
White blood cells, × 109/L 7.26 ± 2.59 7.14 ± 2.32 0.779

Values are presented as mean ± standard deviation or number (%).

CRS, chronic rhinosinusitis; LTOT, long term oxygen therapy; NIV, noninvasive ventilation.

References
References

REFERENCES

1. Chalmers JD, Chang AB, Chotirmall SH, Dhar R, McShane PJ. Bronchiectasis. Nat Rev Dis Primers 2018;4:45.
[Article] [PubMed]
2. McShane PJ, Tino G. Bronchiectasis. Chest 2019;155:825–833.
[Article] [PubMed]
3. Yii AC, Tay TR, Choo XN, Koh MS, Tee AK, Wang DY. Precision medicine in united airways disease: a “treatable traits” approach. Allergy 2018;73:1964–1978.
[Article] [PubMed]
4. Licari A, Castagnoli R, Denicolo CF, Rossini L, Marseglia A, Marseglia GL. The nose and the lung: united airway disease? Front Pediatr 2017;5:44.
[Article] [PubMed] [PMC]
5. Orlandi RR, Kingdom TT, Hwang PH, et al. International consensus statement on allergy and rhinology: rhinosinusitis. Int Forum Allergy Rhinol 2016;6:Suppl 1. S22–S209.
[PubMed]
6. Handley E, Nicolson CH, Hew M, Lee AL. Prevalence and clinical implications of chronic rhinosinusitis in people with bronchiectasis: a systematic review. J Allergy Clin Immunol Pract 2019;7:2004–2012.
[Article] [PubMed]
7. Lee H, Choi H, Sim YS, et al. KMBARC registry: protocol for a multicentre observational cohort study on non-cystic fibrosis bronchiectasis in Korea. BMJ Open 2020;10:e034090.
[Article] [PubMed] [PMC]
8. Lee H, Choi H, Chalmers JD, et al. Characteristics of bronchiectasis in Korea: first data from the Korean Multicentre Bronchiectasis Audit and Research Collaboration registry and comparison with other international registries. Respirology 2021;26:619–621.
[Article] [PubMed]
9. Hill AT, Haworth CS, Aliberti S, et al. Pulmonary exacerbation in adults with bronchiectasis: a consensus definition for clinical research. Eur Respir J 2017;49:1700051.
[Article] [PubMed]
10. Reiff DB, Wells AU, Carr DH, Cole PJ, Hansell DM. CT findings in bronchiectasis: limited value in distinguishing between idiopathic and specific types. AJR Am J Roentgenol 1995;165:261–267.
[Article] [PubMed]
11. Chalmers JD, Goeminne P, Aliberti S, et al. The bronchiectasis severity index: an international derivation and validation study. Am J Respir Crit Care Med 2014;189:576–585.
[Article] [PubMed] [PMC]
12. Minov J, Karadzinska-Bislimovska J, Vasilevska K, Stoleski S, Mijakoski D. Assessment of the non-cystic fibrosis bronchiectasis severity: the FACED Score vs the Bronchiectasis Severity Index. Open Respir Med J 2015;9:46–51.
[Article] [PubMed] [PMC]
13. Spinou A, Siegert RJ, Guan WJ, et al. The development and validation of the Bronchiectasis Health Questionnaire. Eur Respir J 2017;49:1601532.
[Article] [PubMed]
14. Kim HK, Lee H, Kim SH, et al. Validation of the Korean version of the Bronchiectasis Health Questionnaire. Tuberc Respir Dis (Seoul) 2020;83:228–233.
[Article] [PubMed] [PMC]
15. Krupp LB, LaRocca NG, Muir-Nash J, Steinberg AD. The fatigue severity scale: application to patients with multiple sclerosis and systemic lupus erythematosus. Arch Neurol 1989;46:1121–1123.
[Article] [PubMed]
16. Hjollund NH, Andersen JH, Bech P. Assessment of fatigue in chronic disease: a bibliographic study of fatigue measurement scales. Health Qual Life Outcomes 2007;5:12.
[Article] [PubMed] [PMC]
17. Park SJ, Choi HR, Choi JH, Kim KW, Hong JP. Reliability and validity of the Korean version of the Patient Health Questionnaire-9 (PHQ-9). Anxiety Mood 2010;6:119–124.

18. King PT, Holdsworth SR, Freezer NJ, Villanueva E, Holmes PW. Characterisation of the onset and presenting clinical features of adult bronchiectasis. Respir Med 2006;100:2183–2189.
[Article] [PubMed]
19. Yang X, Xu Y, Jin J, Li R, Liu X, Sun Y. Chronic rhinosinusitis is associated with higher prevalence and severity of bronchiectasis in patients with COPD. Int J Chron Obstruct Pulmon Dis 2017;12:655–662.
[Article] [PubMed] [PMC]
20. Wang Y, Yang HB. Effects of functional endoscopic sinus surgery on the treatment of bronchiectasis combined with chronic rhino-sinusitis. Acta Otolaryngol 2016;136:860–863.
[Article] [PubMed]
21. Guilemany JM, Alobid I, Angrill J, et al. The impact of bronchiectasis associated to sinonasal disease on quality of life. Respir Med 2006;100:1997–2003.
[Article] [PubMed]
22. Guan WJ, Gao YH, Li HM, Yuan JJ, Chen RC, Zhong NS. Impacts of co-existing chronic rhinosinusitis on disease severity and risks of exacerbations in Chinese adults with bronchiectasis. PLoS One 2015;10:e0137348.
[Article] [PubMed] [PMC]
23. Guilemany JM, Marino-Sanchez FS, Angrill J, et al. The importance of smell in patients with bronchiectasis. Respir Med 2011;105:44–49.
[Article] [PubMed]
24. Guilemany JM, Angrill J, Alobid I, et al. United airways again: high prevalence of rhinosinusitis and nasal polyps in bronchiectasis. Allergy 2009;64:790–797.
[Article] [PubMed]
25. Guilemany JM, Angrill J, Alobid I, et al. United airways: the impact of chronic rhinosinusitis and nasal polyps in bronchiectasic patient’s quality of life. Allergy 2009;64:1524–1529.
[Article] [PubMed]
26. Fokkens WJ, Lund VJ, Hopkins C, et al. European position paper on rhinosinusitis and nasal polyps 2020. Rhinology 2020;58(Suppl S29):1–464.

27. McDonnell MJ, Aliberti S, Goeminne PC, et al. Comorbidities and the risk of mortality in patients with bronchiectasis: an international multicentre cohort study. Lancet Respir Med 2016;4:969–979.
[Article] [PubMed] [PMC]
28. Choi H, Yang B, Nam H, et al. Population-based prevalence of bronchiectasis and associated comorbidities in South Korea. Eur Respir J 2019;54:1900194.
[Article] [PubMed]
29. Araujo D, Shteinberg M, Aliberti S, et al. The independent contribution of Pseudomonas aeruginosa infection to long-term clinical outcomes in bronchiectasis. Eur Respir J 2018;51:1701953.
[Article] [PubMed]
30. Dhar R, Singh S, Talwar D, et al. Bronchiectasis in India: results from the European Multicentre Bronchiectasis Audit and Research Collaboration (EMBARC) and Respiratory Research Network of India Registry. Lancet Glob Health 2019;7:e1269–e1279.
[Article] [PubMed]
31. Visser SK, Bye PT, Fox GJ, et al. Australian adults with bronchiectasis: the first report from the Australian Bronchiectasis Registry. Respir Med 2019;155:97–103.
[Article] [PubMed]
32. Xu Y, Quan H, Faris P, et al. Prevalence and incidence of diagnosed chronic rhinosinusitis in Alberta, Canada. JAMA Otolaryngol Head Neck Surg 2016;142:1063–1069.
[Article] [PubMed]
33. Dietz de Loos D, Lourijsen ES, Wildeman MA, et al. Prevalence of chronic rhinosinusitis in the general population based on sinus radiology and symptomatology. J Allergy Clin Immunol 2019;143:1207–1214.
[Article] [PubMed]
34. Kim DH, Han K, Kim SW. Effect of chronic rhinosinusitis with or without nasal polyp on quality of life in South Korea: 5th Korea National Health and Nutrition Examination Survey Korean. Clin Exp Otorhinolaryngol 2016;9:150–156.
[Article] [PubMed] [PMC]
35. Shoemark A, Ozerovitch L, Wilson R. Aetiology in adult patients with bronchiectasis. Respir Med 2007;101:1163–1170.
[Article] [PubMed]
36. Schwartz BS, Al-Sayouri SA, Pollak JS, et al. Strong and consistent associations of precedent chronic rhinosinusitis with risk of non-cystic fibrosis bronchiectasis. J Allergy Clin Immunol 2022;Mar. 18. [Epub]. https://doi.org/10.1016/j.jaci.2022.03.006 .
[Article] [PubMed]
37. Won HK, Kim YC, Kang MG, et al. Age-related prevalence of chronic rhinosinusitis and nasal polyps and their relationships with asthma onset. Ann Allergy Asthma Immunol 2018;120:389–394.
[Article] [PubMed]
38. Kanda A, Kobayashi Y, Asako M, Tomoda K, Kawauchi H, Iwai H. Regulation of interaction between the upper and lower airways in united airway disease. Med Sci (Basel) 2019;7:27.
[Article] [PubMed] [PMC]
hanmi ckdpharm. Memo patch
yungjin daewoongbio jw

Go to Top