Exosomal miRNA-720 as a potential diagnostic and prognostic biomarker for hepatocellular carcinoma
Article information
Abstract
Background/Aims
Circulating exosomal microRNAs (miRNAs) can serve as diagnostic and prognostic biomarkers for cancer. This study aimed to identify specific miRNAs in serum exosomes of patients with hepatocellular carcinoma (HCC) and validate their biological functions as novel diagnostic and predictive biomarkers.
Methods
Serum exosomal miRNAs in patients with HCC (n = 241) and without HCC (n = 45) were measured by qRT-PCR. The role of exosomal miRNAs in HCC was investigated through in vitro tests and verified in a clinical cohort of patients.
Results
In vitro, we observed delivery of exosomal miRNA-720 (miR-720) to recipient cells. Exosome-mediated miR-720 promoted proliferation and inhibited apoptosis of recipient HCC cells. Exosomal miR-720 inhibited tumor suppressor StarD13 expression in recipient cells. Additionally, exosomal miR-720 promoted stemness in recipient cells by increasing protein expression of stemness-associated markers such as OCT4 and c-MYC. In our cohort, serum exosomal miR-720 was significantly upregulated in HCC patients than in non-HCC patients, showing an excellent diagnostic performance for HCC. Particularly, exosomal miR-720 exhibited superior performance in diagnosing small HCC (< 2 cm) compared to AFP or DCP. Exosomal miR-720 levels positively correlated with advancing tumor stage and size. Patients with high expression of exosomal miR-720 had significantly shorter time to progression than those with low expression of exosomal miR-720 during transarterial chemoembolization (TACE).
Conclusions
Our results demonstrate that exosomal miR-720 plays an oncogenic role in HCC by targeting StarD13. Circulating exosomal miR-720 could be used as a novel diagnostic and therapeutic biomarker and serve as a guide for selecting treatment options including TACE for HCC.
INTRODUCTION
Hepatocellular carcinoma (HCC) is a commonly diagnosed malignancy worldwide. It is the third leading cause of cancer-related death [1]. Surgical resection and liver transplantation are considered as curative options for HCC. However, the majority of patients are not eligible for curative options due to late diagnosis. Therefore, many patients receive non-surgical treatments, of which transarterial chemoembolization (TACE) is currently widely used for inoperable HCC, providing a ~50% objective response rate and improved patient survival when compared to best supportive care [2]. However, expectation rates of objective response to TACE decrease with repeated TACE [3] and the procedure potentially results in deterioration of liver function from baseline [4]. To improve the overall outcome of HCC, it is essential to identify novel and valuable biomarkers that confer early diagnosis and benefits for selecting treatment options including TACE for patients.
Exosomes are extracellular vesicles of 40 to 100 nm in size secreted by various cells that contain various cargoes, including nucleic acids, proteins, and lipids. They can mediate cell-to-cell communication by transferring these cargoes to other cells [5]. microRNA (miRNA) is a small non-coding RNA that can regulate gene expression by directly binding to the 3’ untranslated region (UTR) of a target gene [6]. miRNAs are mediated by exosomes and transferred to other cells, playing an important role in tumor growth and progression [7].
Using miRNA array, we have previously identified several potential candidate exosomal miRNAs for HCC [8]. Among them, miRNA-720 (miR-720) has been studied in various cancers such as pancreatic cancer, glioma, and renal cell carcinoma [9–11]. However, the biological function of miR-720, especially the form of miR-720 contained in exosomes, is unknown in HCC. Therefore, this study aimed to elucidate the tumor-promoting properties of exosomal miR-720 by exploring its role in HCC. Furthermore, we sought to reinforce its clinical significance as a diagnostic and prognostic indicator by validating its utility in a cohort of patients with HCC.
METHODS
Cell cultures
Human HCC cell lines (Huh7, HepG2, and SNU449) were obtained from Korean Cell Line Bank (Seoul, Korea) and Dr. Yoon (Seoul St. Mary’s Hospital, Seoul, Korea). Huh7 cells were cultured in Dulbecco’s modified Eagle medium (DMEM; Hyclone, Waltham, MA, USA) supplemented with 10% fetal bovine serum (FBS), 1% HEPES, and antibiotic-anti mycotic. HepG2 cells were cultured in minimum essential medium (MEM; Gibco, Grand Island, NY, USA) supplemented with 10% FBS, 1% HEPES, 1% antibiotic-anti mycotic, 1% sodium pyruvate, and 1% MEM non-essential amino acid solution. SNU449 cells were cultured in Roswell Park Memorial Institute (RPMI 1640; Welgene, Gyeongsan, Korea) supplemented with 10% FBS, and 1% antibiotic-anti mycotic. All cells were cultured at 37°C in a humidified incubator with 5% CO2.
Patients and samples
This study recruited a total of 286 subjects, including 241 patients with HCC who underwent TACE and 45 without HCC at The Catholic University of Korea between 2010 and 2019. The diagnosis of HCC was made based on typical radiologic findings or pathological examination of tumors. Serum samples from HCC patients were obtained before treatment and they were preserved at −80°C for later use. Our study also included serum samples from 45 non-HCC patients as a control group. This study was approved by the Ethics Committee of The Catholic University of Korea. Informed written consent was obtained from all patients (approval number: KC17TESI0664).
Treatment and follow-up
Transarterial therapy for HCC was assigned based on tumor characteristics and hepatic function. The chemolipidolization regimen that we used was doxorubicin (3050 mg) with gelfoam embolization. TACE procedure was repeated at 1- to 2-month intervals until complete necrosis was achieved. Liver computed tomography (CT) or magnetic resonance imaging (MRI) and α-fetoprotein (AFP) testing were performed at each visit for a scheduled course of TACE. For patients who achieved complete necrosis, TACE was stopped and CT or MRI with serum AFP levels were then checked every 2 to 3 months over the follow-up period.
Exosome isolation and characterization
Exosomes were isolated from cell culture-conditioned media (CM) using a total exosome isolation (TEI) kit (Invitrogen, Carlsbad, CA, USA). All exosomes assays were performed according to our previous protocols [8]. Briefly, cells were washed with phosphate-buffered saline (PBS) when reaching 80% confluence and then incubated with serum-free media (SFM) for 48 hours. CM was collected and then ultrafiltered with Amicon Ultra Centrifugal. Exosomes were subsequently isolated from CM according to the manufacturer’s instructions. The exosome pellet was resuspended in PBS and exosomes were visualized by transmission electron microscopy (TEM). Finally, exosome characterization was performed by detecting exosome markers through Western blotting.
Patients’ serum-derived exosomes were isolated using ExoQuickTM (System Biosciences, Palo Alto, CA, USA) following the manufacturer’s recommendation. Before isolating the exosomes, serum was centrifuged at 3,000 g for 15 min at 4°C to remove cellular debris.
miRNA transfection into exosomes
Following the protocol of a previous study [8], miRNAs were loaded into the exosomes. In short, miR-720 and miR-NC (negative control mimic) were loaded into Huh7-derived exosomes using lipofectamine 2000 (Invitrogen).
Co-culture experiment
Recipient cells (SNU449 and HepG2) were seeded in 6-well plates. When confluency reached 80%, the cells were incubated for 24 hours with either the in vitro exosomal miR-720 (Exo-720) or the negative control exosomal miR-NC (Exo-NC) suspended in SFM.
Exosome labeling and exosomal miRNA transfer tracking
To confirm that miRNA was transferred through exosomes, miR-720 labeled with Cy-3 (GenePharma, Shanghai, China) and miR-NC were transfected as described above. Transfected exosomes were labeled with a PKH67 green membrane dye (Sigma-Aldrich, St. Louis, MO, USA) according to the manufacturer’s instructions. Following purification of exosomes using TEI, recipient cells were co-cultured with labeled exosomes for 24 hours. After washing with PBS, cells were fixed with 4% paraformaldehyde. Finally, cells were stained with DAPI and imaged with a confocal microscope (LSM900; Carl Zeiss, Oberkochen, Germany).
Cell proliferation assay
MTT (5 mg/mL; Sigma-Aldrich) was dissolved in PBS. Cells (1 × 104/well) were seeded into a 96-well plate and then incubated for 4 hours with a 10% MTT solution. After removing the MTT solution, formazan was dissolved in DMSO and absorbance was measured at a wavelength of 570 nm.
Apoptosis assay
Cell apoptosis rates were determined by flow cytometry with a FITC Annexin V apoptosis detection kit (BD Biosciences, Franklin Lakes, NJ, USA). Cells to be detected were collected, washed with cold PBS, and resuspended in binding buffer. After 5 μL of propidium iodide and 5 μL of FITC Annexin V were added, cells were incubated in the dark for 15 min at room temperature. Apoptotic cell rate was analyzed with FACS Canto 2 (BD Biosciences).
Sphere formation assay
Cells (200/well) were seeded onto ultra-low attachment plates (Costar; Corning, Glendale, AZ, USA) and cultured for 10–14 days in serum-free DMEM/F12 (Invitrogen) containing basic fibroblast growth factor (20 ng/mL; PeproTech, Cranbury, NJ, USA), B27 supplementation (Invitrogen) and epidermal growth factor (20 ng/mL; PeproTech). Spheres greater than 50 μm in diameter were counted for analysis.
Western blot analysis
Cells were lysed with RIPA lysis buffer (Thermo Fisher Scientific, Waltham, MA, USA) containing a protease inhibitor cocktail (Sigma-Aldrich), cocktail 2, and cocktail 3 (Sigma-Aldrich). Obtained proteins were separated by SDS-PAGE and transferred to polyvinylidene fluoride membranes. Membranes were blocked with 5% BSA and then incubated overnight at 4°C with the following primary antibodies: StarD13 (sc-377054; Santa Cruz Biotechnology, Dallas, TX, USA), c-MYC (9402; Cell Signaling Technology, Danvers, MA, USA), OCT4 (sc-5279; Santa Cruz Biotechnology), CD63 (sc-15363, Santa Cruz Biotechnology), HSP70 (C92F3A-5, Enzo Life Sciences, Farmingdale, NY, USA), and β-actin (A5441; Sigma-Aldrich). Protein bands were detected with a Clarity Western ECL substrate (Bio-Rad, Hercules, CA, USA).
Quantitative real-time polymerase chain reaction
RNA was extracted using a Qizaol reagent (Qiagen, Hilden, Germany) according to the manufacturer’s instructions. cDNA synthesis was performed using Taqman microRNA reverse transcription kit (Applied Biosystems, Waltham, MA, USA). Expression levels of miR-720 were measured by quantitative real-time polymerase chain reaction (qRT-PCR) using a TaqmanTM MicroRNA Reverse Transcription kit (4366596; Applied Biosystems). Relative transcript levels were normalized to miRNA-16 and calculated using the 2−ΔΔCt method.
Statistical analysis
Significant differences between groups were evaluated with Student’s t-test, Mann–Whitney U test, ANOVA test, Kruskal–Wallis test, or chi-square test, when appropriate. Continuous variables were dichotomized based on their median values. The optimal cut-off for each marker diagnosing HCC was determined using the Youden index. The sensitivity and specificity of HCC markers were calculated using standard formulae. Receiver operating characteristic (ROC) curves and area under the ROC curve (AUC) were established to distinguish patients with HCC from those without HCC. Survival analysis of patients undergoing TACE was analyzed with Kaplan-Meier method and log-rank test. Statistical analyses were performed with GraphPad Prism 7 (GraphPad Software Inc, Boston, MA, USA) or SPSS 20.0 software (IBM, Armonk, NY, USA). p value < 0.05 represented statistical significance.
RESULTS
Screening of serum miRNAs and characterization of exosomes in HCC patients
To determine candidate miRNAs as biomarkers for HCC, miRNA microarray was performed using samples of patients with and without HCC (Supplementary Table 1), as previously described [8]. Among the ten miRNAs meeting the screening criteria (fold change > 1.5 and p value < 0.05) (Supplementary Fig. 1), miR-720 was among the most potential miRNAs that could enhance aggressive phenotype or chemo-resistance for HCC. Thus, it was selected for further analyses.
Exosome isolation and characterization were performed according to our previous method [8]. Briefly, serum exosomes were isolated from patients. Under TEM, isolated vesicles were measured 30–150 nm in diameter (Supplementary Fig. 2A). Western blot analysis showed the presence of exosome markers such as HSP70 and CD63 (Supplementary Fig. 2B), confirming the successful isolation of exosomes.
Transfer of miR-720 to recipient cells by exosomes
We first investigated whether miR-720 could be delivered to recipient cells SNU449 and HepG2 by exosomes. Exosomes were isolated from Huh7 cells and characterized by imaging by TEM and detecting the exosome markers HSP70 and CD63 (Supplementary Fig. 2A, B). In addition, it was confirmed that miR-720 was overexpressed in Exo-720 compared to Exo-NC (Supplementary Fig. 2C). Confocal microscopy showed that Exo-720 was internalized into the recipient cells (Fig. 1A). qRT-PCR confirmed the overexpression of miR-720 in SNU449 and HepG2 recipient cells co-cultured with Exo-720 vs. Exo-NC (Fig. 1B). These results indicate that miR-720 can be transferred to recipient cells via exosomes.
Transfer of miR-720 to recipient cells by exosomes. (A) Confocal microscopy images of recipient cells co-cultured with Cy3-labeled miR-720 loaded exosomes or Exo-NC. Original magnification, × 800 or × 1,200. Scale bar, 20 μm. Red: Cy3-labeled miR-720; DAPI: nuclei; green: exosomes. (B) After co-culture of Exo-NC or Exo-720 with recipient cells, miR-720 expression level was normalized to that of U6 and analyzed by qRT-PCR. Exo-NC, exosomal miRNA-NC; Exo-720, exosomal miRNA-720; qRT-PCR, quantitative real-time polymerase chain reaction; PBS, phosphate-buffered saline. *p < 0.05.
Effects of exosomal miR-720 on the proliferation and apoptosis of HCC cells
The effect of exosomal miR-720 on cell proliferation was assessed using the MTT assay. Compared to Exo-NC, co-culture with Exo-720 significantly promoted the proliferation of recipient cells (Fig. 2A). FACS was performed to investigate the effect of Exo-720 on apoptosis in recipient cells. Flow cytometry showed that apoptotic cell rates were significantly reduced by Exo-720 compared to those by Exo-NC (Fig. 2B). Taken together, these results suggest that exosomal miR-720 can promote cell proliferation and inhibit the apoptosis of HCC cells.
Exo-720 promotes proliferation and regulates apoptosis of HCC cells. (A) Cell proliferation was measured by MTT assay. At 24, 48 and 72 hours, absorbance was measured at a wavelength of 570 nm. (B) Apoptotic cells were measured by flow cytometry. Exo-720, exosomal miRNA-720; HCC, hepatocellular carcinoma; PBS, phosphate-buffered saline; Exo-NC, exosomal miRNA-NC. *p < 0.05.
Exosomal miR-720 downregulates StarD13 expression in HCC cells
To find targets of miR-720, we used open-source bioinformatics algorithms (TargetScan and microrna.org) and identified 58 overlapping genes (Fig. 3A). Functions of these candidate genes were predicted through functional annotation analysis of Database for Annotation, Visualization, and Integrated Discovery. In view of its malignant properties, a candidate gene was deemed a tumor suppressor gene (Supplementary Table 2). Among potential targets, StarD13 was selected for investigation, as StarD13 is well known as a tumor suppressor gene in various cancers [12]. The analysis of the TCGA database also revealed significantly lower expression of StarD13 in HCC vs. non-HCC tissues (Supplementary Fig. 3), indicating its tumor suppressor function. In addition, miR-720 can bind to the 3’-UTR of StarD13 [13], with matched regions as shown in Figure 3B. To determine whether exosomal miR-720 could directly target StarD13, we co-cultured recipient cells with Exo-720. As a result, exosome-mediated miR-720 significantly suppressed StarD13 protein expression in recipient cells (Fig. 3C).
StarD13 is a direct target of Exo-720 in HCC cells. (A) Venn diagram showing overlap of target genes retrieved from two opensource bioinformatics algorithms. (B) Sites in the 3’-UTR of StarD13 matching in the miR-720 seed region. (C) Western blot analysis showing reduced levels of StarD13 protein expression by exosome-mediated miR-720. Exo-720, exosomal miRNA-720; HCC, hepatocellular carcinoma; PBS, phosphate-buffered saline; Exo-NC, exosomal miRNA-NC. *p < 0.05.
Exosomal miR-720 promotes stemness of HCC cells
A sphere formation assay was performed to explore the effect of exosomal miR-720 on stemness of recipient cells. Compared to Exo-NC, Exo-720 promoted sphere-formation capacities of recipient cells under a co-culture condition (Fig. 4A). To further ascertain the role of exosomal miR-720 in the stemness of HCC, we examined protein expression levels of stemness markers including OCT4 and c-MYC using Western blot assay. As a result, after co-culture with Exo-720, OCT4 and c-MYC proteins were overexpressed in recipient cells (Fig. 4B). These findings suggest that exosomal miR-720 can promote stemness of HCC cells, conferring therapy resistance.
Exo-720 promotes HCC cell stemness in vitro. (A) Sphere formation assay exhibiting enhanced sphere-forming capacities of recipient cells co-cultured with Exo-720. (B) Western blot analysis showing increased expression levels of stemness markers OCT4 and c-MYC. Exo-720, exosomal miRNA-720; HCC, hepatocellular carcinoma; PBS, phosphate-buffered saline; Exo-NC, exosomal miRNA-NC. *p < 0.05, **p < 0.01.
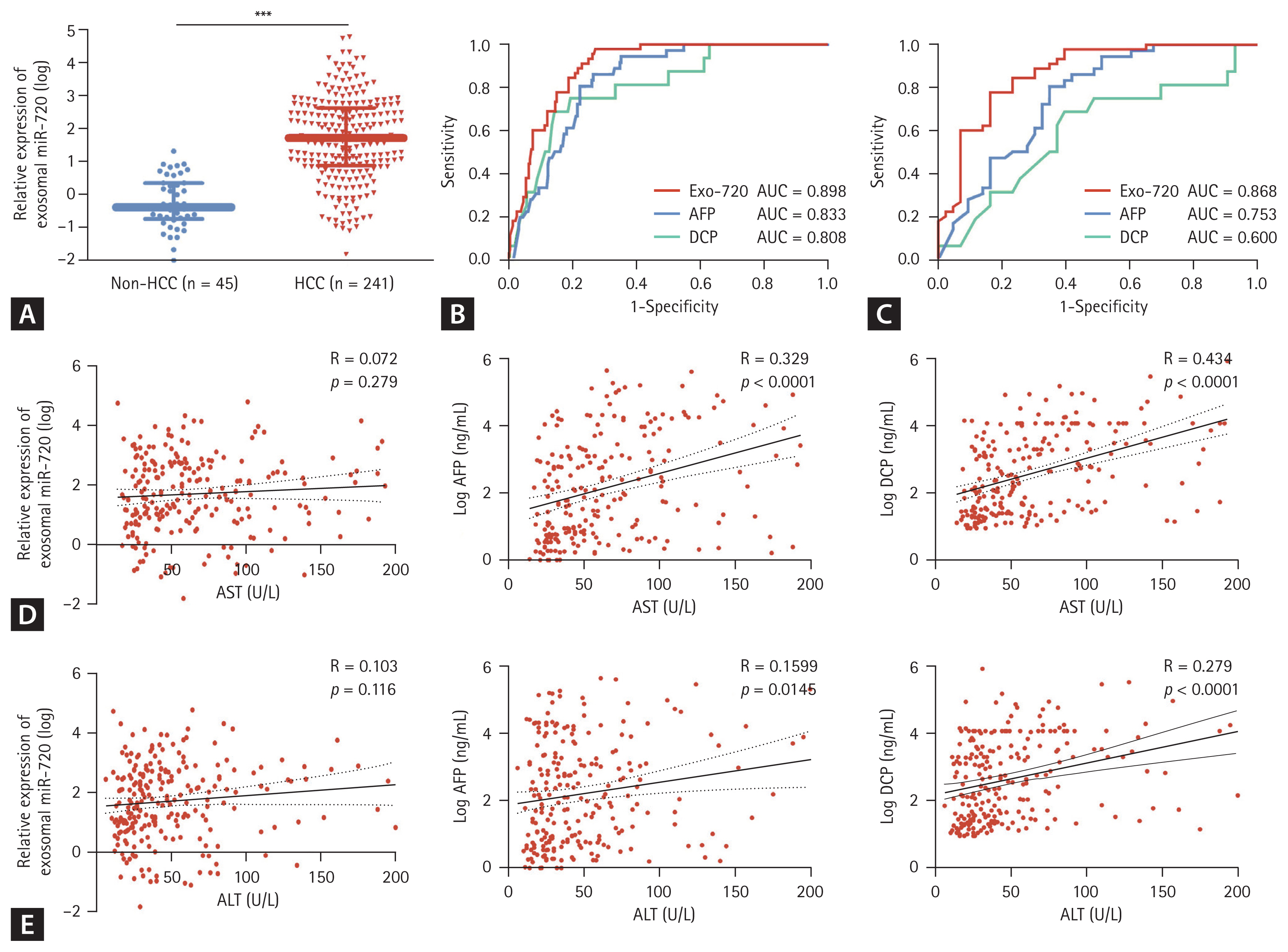
Diagnostic ability of serum exosomal miR-720 for HCC
The clinical characteristics of the 286 subjects (241 HCC and 45 non-HCC) are in Table 1, and the causes of liver disease for non-HCC patients are in Supplementary Table 3. Based on the above in vitro results, we evaluated the diagnostic potential of exosomal miR-720 as a biomarker for early detection of HCC in comparison with conventional markers AFP and des-γ-carboxy prothrombin (DCP). When comparing exosomal miR-720 levels in all patients, HCC patients had higher circulating levels of exosomal miR-720 than non-HCC patients (Fig. 5A). The AUC of exosomal miR-720 was 0.898, which was better than AFP (AUC = 0.833) or DCP (AUC = 0.808) in distinguishing HCC from non-HCC liver disease (Fig. 5B). Exosomal miR-720 also better discriminated small HCCs (< 2 cm) from non-HCC disease, with an AUC of 0.868 (95% CI 0.792–0.944, p < 0.001), compared to AFP (AUC = 0.753) and DCP (AUC = 0.600) (Fig. 5C). At a cut-off of 2.52, its sensitivity and specificity for detecting small HCCs were 77.8% and 83.7%, respectively. The diagnostic accuracy of serum exosomal miR-720 is summarized in Table 2.
Circulating Exo-720 is a useful diagnostic biomarker for HCC. (A) Exo-720 levels in sera of HCC patients (n = 241) and non-HCC patients (n = 45), ROC curve analysis of each marker in discriminating (B) overall HCC and (C) small HCC (< 2 cm). Differences in correlation between each marker and (D) AST and (E) ALT levels. Exo-720, exosomal miRNA-720; HCC, hepatocellular carcinoma; ROC, receiver operating characteristic; AST, aspartate aminotransferase; ALT, alanine aminotransferase; AFP, αγ-fetoprotein; DCP, des-γ-carboxy prothrombin. ***p < 0.001.
Given the poor diagnostic accuracy of AFP or DCP for HCC due to false positivity in patients with elevated aminotransferase levels, we investigated correlations between each marker and aspartate aminotransferase (AST) or aspartate aminotransferase (ALT) levels. Exosomal miR-720 showed no significant correlation with AST or ALT (p > 0.05), whereas AFP or DCP exhibited significant positive correlations with AST or ALT levels (all p < 0.05; Fig. 5D, E). This indicates that unlike AFP or DCP, the diagnostic performance of serum exosomal miR-720 still maintains in patients with elevated aminotransferase levels.
Prognostic role of serum exosomal miR-720 in HCC
Serum exosomal miR-720 levels had positive correlation with tumor size, though it did not reach statistical significance (p = 0.0629 and r = 0.2103, Fig. 6A). Moreover, its expression significantly increased with the tumor stage progression (Fig. 6B). Exosomal miR-720 levels were marginally higher in patients with multiple tumors or portal vein invasion (Fig. 6B).
Circulating Exo-720 is a useful prognostic biomarker for HCC. (A) Correlation between serum Exo-720 and tumor size. Relative expression of Exo-720 according to (B) Tumor stage (I + II vs. III + IV), tumor number, and portal vein invasion. (C) Time to progression and overall survival among HCC patients undergoing TACE according to Exo-720 levels. Exo-720, exosomal miRNA-720; HCC, hepatocellular carcinoma; TACE, transarterial chemoembolization; PVT, portal vein thrombosis. *p < 0.05.
Overall, 144 patients (59.8%) experienced tumor progression during the follow-up period. The estimated progression rates at 1 year, 3 years, and 5 years for patients with higher exosomal miR-720 levels were 59.7%, 85.5%, and 91.9%, respectively. In contrast, the corresponding progression rates for patients with lower exosomal miR-720 levels were 36.4%, 57.5%, and 73.2%. Survival curve analysis revealed that patients with higher exosomal miR-720 expression had significantly shorter time to progression (p = 0.0012) and marginally worse overall survival (p = 0.1997) after TACE than those with lower exosomal miR-720 expression (Fig. 6C). When stratified by tumor stage, patients with higher exosomal miR-720 levels exhibited significantly earlier tumor progression after TACE in patients with HCC stage I and II (p = 0.0496), with a similar trend observed in those with HCC stage III and IV (p = 0.0944) (Supplementary Fig. 4). These results suggest that circulating exosomal miR-720 levels could be a feasible biomarker predicting HCC outcome in patients undergoing TACE.
DISCUSSION
Extracellular vesicle miRNAs have emerged as promising tools for the diagnosis and prognosis of cancers [14]. Through miRNA microarray to identify candidate miRNAs for HCC [8], we examined herein exosomal miR-720, which showed a high association with HCC. Our results showed that exosomal miR-720 had oncogenic properties. Specifically, exosomal miR-720 promoted proliferation and suppressed apoptosis of HCC cells. In addition, exosomal miR-720 increased the stemness of HCC cells by downregulating tumor suppressor gene StarD13. Serum levels of exosomal miR-720 were higher in HCC patients than in non-HCC patients, with significantly better performance to discriminate small HCCs (< 2 cm) than AFP and DCP. Furthermore, exosomal miR-720 levels were associated with tumor stage and time to progression in patients undergoing TACE. These results suggest the potential of exosomal miR-720 as a useful biomarker for diagnosis and a screening tool for treatment options of HCC.
Cancer cell-derived exosomes facilitate cancer progression and aggressiveness by transferring noncoding RNAs, including miRNAs. Our observation of the internalization and expression of Cy3-labeled miR-720 indicates the biological functions of exosomal miR-720 transferred from donor to recipient cells via intercellular communication. Our study showed that exosome-mediated miR-720 promoted HCC cell proliferation and reduced apoptosis by downregulating StarD13. Previous studies have reported conflicting functions of miR-720 in cancer. While some research suggests that miR-720 acts as a tumor suppressor in breast cancer [15] and pancreatic cancer [9], other studies link high miR-720 level to poor outcomes in renal cell carcinoma [11], colorectal cancer [13], and glioma [10]. As such, the role of exosomal miR-720 in HCC remains unclear; however, our data reveal its diagnostic and tumorigenic potential in the case of HCC.
StarD13, a steroidogenic acute regulatory-related lipid transfer domain containing 13 protein, is a tumor suppressor located on chromosome 13q12.3 and encoded by the DLC2 gene [16]. It has been shown that StarD13 can inhibit proliferation, migration, and invasion of prostate cancer cells [17]. In addition, StarD13 has been reported to exert tumor-suppressive functions in various cancers, including breast cancer [18], gastric cancer [19], and HCC [16]. Consistent with previously reported studies, our results also showed that StarD13 functions as a tumor suppressor in HCC.
Most importantly, our study is the first to demonstrate the diagnostic and predictive role of exosomal miR-720 in HCC. Regarding diagnostic markers, AFP or DCP are widely used for HCC diagnosis. However, their diagnostic accuracy is diminished in patients with elevated AST or ALT levels due to their false positivity. On the other hand, nearly a half of HCC patients have normal AFP levels, especially in those with small HCC [20]. Our results showed good correlations between exosomal miR-720 and tumor size or stage, as well as superior performance compared to AFP or DCP for HCC diagnosis. Particularly, serum exosomal miR-720 exhibited a significantly better ROC curve than AFP or DCP when used for diagnosing small HCC (< 2 cm). Its diagnostic performance appears more relevant, since the control subjects in our study were not healthy volunteers, but patients with liver disease who remain under actual HCC surveillance or monitoring (Supplementary Table 3). Unlike AFP or DCP, its linear scales were also unaffected by high serum aminotransferase levels, which significantly reduce the diagnostic accuracy of AFP or DCP for HCC. Taken together, serum exosomal miR-720 appeared to have significant comparative advantages over AFP or DCP in diagnosing HCC among patients with elevated AST or ALT levels or small-sized HCC, in which the diagnostic performance of conventional tumor markers is inefficient. It would be interesting to investigate the role of exosomal miR-720 as an adjunct screening tool, especially for these clinical situations.
Stemness is a key feature of tumor progression and a source of cancer cell survival [21]. In particular, cancer stem cells use their stem properties to survive chemotherapy and perpetuate their lineage. Cancer-derived exosomes also participate in the tumor microenvironment by transferring miRNAs and lncRNAs, further promoting stemness and chemo-resistance [22]. Many studies have shown the relationship between these cancer stem cells and treatment resistance [21,23,24]. In our results, exosomal miR-720 highly induced stem cell-like phenotypes such as sphere formation ability and stemness markers and predicted unresponsiveness to TACE, suggesting its active role in enhancing HCC stemness and treatment resistance. In addition, exosomal miR-720 expression was markedly higher in patients with advancing stage than in those with early stage. Together with its diagnostic roles, these findings suggest that exosome-mediated miR-720 serves as a prognostic indicator, promoting HCC cellular growth and aggressiveness, though the mechanisms behind its role in stemness enhancement remain to be fully elucidated.
Although TACE is the mainstay for the treatment of unresectable HCC, HCC is a highly heterogeneous cancer. There is still no general agreement on its treatment selection. In addition, serum indicators that guide first-line treatment options or switch to other treatments are currently lacking. In our series, high-level exosomal miR-720 was associated with early progression during TACE. This suggests that baseline high-level exosomal miR-720 might reflect unfavorable tumor biology and treatment resistance. As repeat TACE can cause hepatic deterioration [25], baseline serum exosomal miR-720 level might have the potential as an indicator of TACE unresponsiveness, thus helping to choose early aggressive treatments and avoiding unnecessary TACE procedures. For cancer care, it is essential to explore surrogate biomarkers not only for diagnosis, but also treatment response. Our results reported herein suggest that exosomal miR-720 might play important roles in this context.
This study has several limitations. First, miR-720 is reported as a tRNA-derived fragment rather than a common miR-NA [26]. However, recent studies indicate that tRNA-derived fragments function similarly to miRNAs by suppressing the expression of target genes [27,28]. Second, this study did not perform in vivo functional validation of miR-720 using animal models, limiting the ability to confirm its biological role in a physiological context. Additionally, StarD13 expression in relation to exosomal miR-720 in HCC tissues was not measured. However, analysis of the TCGA database (Supplementary Fig. 3) revealed significantly lower StarD13 expression in HCC vs. non-HCC tissues. Finally, the retrospective, single-center design of this study may introduce selection bias and limit generalizability. A multi-center study with a more diverse patient population is needed to improve external validity. Despite these limitations, our study, involving a large cohort, is the first to highlight exosomal miR-720 as a novel biomarker with diagnostic and therapeutic potential in HCC.
In conclusion, this study demonstrates that exosomal miR-720 increases stemness, promotes proliferation, and inhibits apoptosis by targeting StarD13 in HCC. Serum exosomal miR-720 plays a role as a useful marker for both diagnosis and prognosis of HCC. It also serves as a surrogate indicator of TACE refractoriness for guiding treatment selections. These findings suggest that circulating exosomal miR-720 is a potent biomarker and therapeutic target for HCC.
KEY MESSAGE
1. Circulating exosomal miR-720 expression was significantly upregulated in HCC vs. non-HCC subjects.
2. Exosomal miR-720 plays an oncogenic role in HCC by targeting StarD13.
3. Circulating exosomal miR-720 could be used as a novel diagnostic marker, with comparative advantages over conventional markers in diagnosing small HCC and in patients with elevated AST/ALT levels.
4. Exosomal miR-720 may also act as a therapeutic biomarker and serve as a guide for selecting treatment options including TACE for HCC.
Notes
CRedit authorship contributions
Ji Min Kim: investigation, methodology, writing - original draft, formal analysis; Hye Seon Kim: investigation, methodology, writing - review & editing; Jin Seoub Kim: investigation, methodology, writing - review & editing; Ji Won Han: investigation, data curation, writing - review & editing; Soon Kyu Lee: investigation, data curation, writing - review & editing; Heechul Nam: investigation, data curation, writing - review & editing; Pil Soo Sung: investigation, data curation, writing - review & editing; Si Hyun Bae: investigation, data curation, writing - review & editing; Jong Young Choi: investigation, data curation, writing - review & editing; Seung Kew Yoon: investigation, data curation, writing - review & editing; Jeong Won Jang: conceptualization, methodology, investigation, data; curation, funding acquisition, investigation, data curation, writing - review & editing, supervision
Conflicts of interest
The authors have no financial or personal relationships with other persons or organizations that could inappropriately affect the work. Jeong Won Jang has served as a consultant to or has served on the advisory board of Gilead, BMS, Abbvie, Bayer, Ipsen, and Roche.
Funding
This study was supported by Basic Science Research Program through the National Research Foundation of Korea (NRF) funded by the Ministry of Science, ICT & Future Planning (NRF-2021R1I1A2056660). This study was supported by the Research Award of the Korean Liver Cancer Association (2020).
Data availability
All relevant data are within the paper and supporting information files and the raw data supporting the conclusions of this article will be made available by the corresponding author, without undue reservation, to any qualified researcher.
